4 Attachment(s)
Visão de mercado dos principais pares
Bem, esse é o começo de uma nova semana. Ao mesmo tempo, já existem níveis atualizados na segunda-feira. Então, eu vou passar por isso.
Euro/USD. Com a abertura da sessão, o par subiu e já passou pelo saldo do dia de 1.2360:
Attachment 673
Parece que o euro decidiu entrar no cenário vermelho e testar a zona de 1.2388-1.2420 em primeiro lugar, e só então cair:
Attachment 674
Embora os fundos não pareçam ser passados hoje. Há um canal do fundo do dia em 1.2308. Então, deste lado, há confirmação também. Declínio mais profundo obviamente não ocorrerá hoje, mas na terça-feira.
Libra. Esta moeda também vem subindo desde a abertura da sessão. Obviamente, aqui está um efeito da inércia da sexta-feira ... Suporte adicional apareceu em 1.4108 como um limite inferior do canal do dia:
Attachment 675
Mas o GBP / USD é um par muito dinâmico, então mantenho a minha previsão do sábado válida:
Attachment 676
Ambos 1.4108 e 1.4085-1.4075 podem fazer facilmente! Para a libra,a quebra do limite inferior do canal absolutamente não é obrigatório em qualquer aspecto ... Uma vez que for atingido, então ele retornará ao canal! Apenas no caso de eles não irem primeiro para uma reversão e imediatamente voarem em cima, a queda será mais profunda. Mas até agora eu estou esperando por uma passagem sob o cenário - esperando por negociações de pleno direito na Ásia.
3 Attachment(s)
perspectiva para os principais de acordo com os níveis do TST
Oi!Aqui está a minha perspectiva para os principais de acordo com os níveis do TST. Como de costume, deixe-me começar pelo euro.
Podemos ver a continuação da tendência de alta aqui. O preço está acima da linha de saldo de 1,2427 e a zona obrigatória de 1,2356-1,2385. Além disso, o limite inferior próximo a 1.2356 está próximo da zona obrigatória, o que sinaliza a possibilidade de um novo aumento. Hoje, o preço pode subir para pelo menos 1,2490 (o limite superior). No entanto, como o preço geralmente quebra esse nível em 50 pontos, podemos esperar uma recuperação acima desse nível. Isso nos dará uma ótima oportunidade para vender.
Devemos comprar apenas após um recuo. Se dermos uma olhada mais de perto, veremos que o preço está na zona plana estreita, mas pode sair dessa zona em qualquer direção. Então, minhas observações são baseadas em adivinhações puras. Eu venderei só acima do 25º número e comprarei hoje da zona obrigatória.
Attachment 687
No gráfico de libra esterlina, não há zona obrigatória e podemos esperar uma reversão. Um bom ponto de entrada nesse caso é 1,4298. Ele está localizado perto da alta deste ano, mas o preço provavelmente não alcançará esse nível e o par cairá de 1,4250-1,4260.O alvo de hoje está no limite inferior de 1,4190. Abaixo desse nível podemos começar a comprar.
Attachment 688
O loonie teimosamente copia movimentos da libra esterlina, mas na imagem refletida. Até abriu sem a zona obrigatória, e podemos esperar um aumento hoje. No entanto, pode não conseguir atingir a linha de saldo em 1,2731.
Em março, foi formado um nível que é muito difícil e o preço não pode quebrá-lo.
Como hoje a tendência de alta de acordo com a TST, podemos esperar que esse nível não seja quebrado novamente, e o preço irá para o norte a partir dele. Falando sobre o limite superior em 1.2856, o preço abriu perto dele, então não será uma resistência hoje, já que o preço pode quebrar o limite em 40-50 pontos.Enquanto isso, nos níveis acima de 50 pontos, onde o limite superior e a zona obrigatória foram encontrados ontem, podemos pensar em abrir uma negociação de venda.
Attachment 689
3 Attachment(s)
Análise de mercado - principais pares
Olá pessoal!
Em relação a libra, eu acidentalmente entrei em vendas, porque eu defini uma ordem pendente para o limite inferior anterior, mas esqueci sobre isso. Eu não vou removê-lo, porque apesar do sinal de compra no limite inferior está na zona obrigatória, mas há outro sinal de que o preço foi aberto (e mesmo que seja um pouco mais alto e próximo ao limite inferior, ele pode atingir isto). Essa é a situação com a libra, especialmente quando a dívida de ontem no limite ultrapassado foi resolvida. Em relação a situação com o euro. Hoje não há zona obrigatória, e isso é agora um sinal de uma virada para o sul. O preço abriu perto do limite inferior de 1.2407, então há uma alta probabilidade de quebrar o canal em 50 ou mais pontos, e quanto ao euro, isso acontece sem ele, a probabilidade aumenta. E devido ao Wolfe de Alta sobre o índice do dólar, espero que o par caia e, muito provavelmente, da atual, já que não há necessidade de esperar até que alcance o saldo em 1,2515. Quanto às compras, acho que não as terei hoje.
Attachment 700
Quanto ao aussie, inclinei-me para o norte, mas o preço abriu abaixo do saldo de 0,7721 e da zona obrigatória de 0,7714-0,7721. Ele abriu ao lado do limite inferior de 0,7674, o que indica que o preço provavelmente será capaz de quebrá-lo. Há uma exceção se desenharmos um nível a partir da última baixa de 21 de março, a partir da qual houve um rebote, temos um nível de demanda, o qual ainda não conseguimos superar. Portanto, as vendas devem ser apenas da zona obrigatória, e aí podemos passar para o ponto de equilíbrio e esperar o preço para ver seu comportamento perto do nível.
Attachment 701
Agora a parte mais interessante é o loonie. Parece ser um irmão gêmeo da libra nos níveis, que anda em suas mãos. Surpreendentemente, parece assim. Abertura no limite de 1.2882, que está na área obrigatória de 1.2867-1.2890. É como uma situação de venda, mas a abertura está perto da fronteira novamente, então você não pode excluir a probabilidade de seu alcance e direto dos atuais. Em segundo lugar, o padrão de alta Wolfe sobre o dólar. E em terceiro lugar, o nível verde que ontem destacou e indicou compras de ir, ainda está operando e se o preço se aproximar hoje, então pode saltar novamente e ir para o norte. Em relação ao loonie, hoje vou deixar as compras, à noite provavelmente vou me lembrar, mas depende de onde o par estará naquele momento.
Attachment 703
2 Attachment(s)
Visão de mercado - principais pares
Quanto ao USD / JPY, isso é o que as novas posições dos bancos podem dizer sobre o par:
Attachment 712
Quanto ao euro, meu negócio foi eliminado no ponto de equilíbrio em 2328. Quanto à libra, eu mesmo fechei o negócio. Ontem fechei o aussie e o kiwi com sucesso. Se às vezes eu tenho problemas com a abertura, mas fecho as transações de uma forma perfeita. A este respeito, eu tenho sorte.
Euro. Limites nada mudou, estamos andando no corredor.
A situação com a libra é interessante. Existe um padrão Shark. Sua marcação é um pouco torta, mas correta. Antes de atingirmos o primeiro nível alvo - 161,8 - o 40º valor, o preço também pode voltar a ser um retrocesso. Mas, uma condição importante, que eu queria dizer - se a libra cair, será a formação de um pico duplo no gráfico semanal, se fecharmos esta semana com uma vela de baixa. E se a libra cair aqui, isso vem sob o conceito de crescimento do EUR / GBP. Especialmente considerando que o euro continuará a flutuar em seu corredor. Isso garantirá o crescimento do par EUR / GBP.
Attachment 713
2 Attachment(s)
Visão de mercado - principais pares
Olá! Hoje eu espero o mesmo sentimento de sexta-feira. Nada de interessante é esperado hoje, mas ainda aqui está uma breve visão geral.Vamos começar com o euro. O sentimento favorece os compradores, mas eu esperaria uma pequena correção para baixo para compras mais lucrativas. E o TST confirma a correção futura. O par abriu hoje abaixo da zona obrigatória de 1.2323-1.2339 e o saldo em 1.2359. Eles estão localizados quase nos mesmos níveis da sexta-feira, mas um pouco abaixo. Atualmente, o preço está próximo da zona obrigatória e eu espero resistência e declínio para pelo menos 1.2300, mas melhor para o limite inferior do canal aberto em 1.2279, de onde vou comprar o par hoje.
Attachment 731
A situação com a libra é semelhante. O preço abriu abaixo do saldo em 1,4040 e a zona obrigatória de 1,4050-1,4077. A diferença é que o saldo está abaixo da zona obrigatória e poderia ser ultrapassada se não fosse pela zona obrigatória. Agora o preço tentará retornar ao saldo positivo, após o qual uma queda no par será antecipada. Os alvos de baixa estão em 1,3980 - 1,4000. Vou considerar compras a partir de lá.
Attachment 732
1 Attachment(s)
Visão de mercado para os principais
Olá a todos! Hoje é quarta-feira que é um bom dia para acompanhar a libra esterlina. A libra como o euro novamente negociando nos níveis de ontem. Embora haja uma diferença. Não há zona obrigatória para o euro e os saldos estão baixos. Em outras palavras, o mercado expressa o sentimento de compra, a menos que o limite superior do canal diário não tenha sido atingido. Portanto, espero uma repetição de ontem: EUR / USD está sendo negociado em 2212 e GBP / USD - em 4011. Então, podemos abrir uma ordem de compra. Eu gostaria que pudéssemos visitar 39 no GBP / USD. Tudo pode acontecer. Lembro-me de uma quarta-feira, quando além de chegarmos a um saldo, o preço se moveu 120 pips mais profundo. De acordo com minhas estimativas, o GBP / USD é negociado na faixa entre 4099 e 4110.
Hoje, a negociação começou com uma nota fraca. Todo mundo está cauteloso. Você está com medo depois dos eventos de ontem? Enquanto isso, estamos preparados para outro dia turbulento. O iene está desenvolvendo uma alta. Outras principais moedas seguirão em breve. A libra está sendo negociada com maior volatilidade antes do lançamento das estatísticas do Reino Unido. Chegou a hora de fazer uma previsão.
O euro está me dando nos nervos. Ele sinaliza teimosamente que deverá cair. A situação hoje está mista. EUR / USD abriu sob o limite superior do canal. O par deve subir ainda mais para 1,24. Por outro lado, o par já caiu para 1,2257 ou o mínimo de ontem. Então isso sugere uma tendência de baixa. As coisas não são tão simples. Vamos analisar o canal.
Attachment 759
Parece estar avançando para baixo. Seria lógico empurrar o par para lá, pelo menos para o saldo de 1.221.
Ao mesmo tempo, há outro fator - o nível geral de equilíbrio dos compradores. No momento, está em 1.2305… Agora, o par está sendo empurrado para ele. O limite superior do canal 1.2286 está quebrado em paralelo. Em suma, é o ponto de virada. Se 1.2885-1.2305 for ultrapassado, o preço irá para 1,24. Se isso não for violado, esperamos uma recuperação e uma queda para 1,2250. Este último será testado e cairá para 1,22 ou irá saltar para 1,24. Aqui estão minhas suposições simples.
2 Attachment(s)
Visão de mercado principais pares
Olá a todos! Hoje, a libra esterlina vai dominar a agenda. o par GBP / USD abriu acima da zona obrigatória de 1.4063-1.4067 e o saldo de 1.4061. Naquele momento, o preço aproximava-se do limite superior de 1,4096 e fora rejeitado com sucesso. Eu sugiro dois cenários para hoje. Agora o preço está testando suporte e equilíbrio. Posteriormente, seria uma boa idéia planejar posições de venda em direção ao limite inferior de 1,4018. Quanto às posições de compra, elas são possíveis a partir do limite inferior para cima. Alternativamente, podemos entrar no mercado com posições longas perto da zona obrigatória, desde que acompanhemos cuidadosamente todos os riscos possíveis. Ainda não recebi nenhum sinal de compra daqui. Eu definitivamente vou abrir um posição de compra assim que um sinal aparecer.
Attachment 765
Agora vamos falar sobre o euro. O EUR / USD foi aberto entre a zona obrigatória de 1.2287-1.2301 e saldo de 1.2273. Atualmente, o par ainda está sendo negociado nessa faixa estreita. Hoje, o preço varia entreo limite superior de 1,2310 e o limite inferior de 1,2228. Analisando o sentimento do mercado em EUR / USD, hoje os traders preferem vender porque o preço está abaixo da zona obrigatória. Minha estratégia de negociação diz que é hora de comprar a partir do equilíbrio. De fato, esta é uma situação duvidosa. Seria melhor adotar a abordagem de esperar para ver e tentar lucrar com os limites de uma faixa de negociação hoje. Não se esqueça de que o euro rompe frequentemente as fronteiras de um intervalo de negociação.
Attachment 766
2 Attachment(s)
Visão de mercado - principais pares
Olá! Vamos começar a análise nos níveis. Primeiro, o euro. Hoje existe uma situação de venda. Preço abriu abaixo da zona obrigatória de 1,2264-1,2283 e estava quase lá, mas voltou mais baixo. Isso fortalece essa venda, há um limite superior de OC em 1,2279 neste MZ, então hoje, a venda da zona obrigatória está na prioridade, se o preço voltar nesta área. O saldo de 1,2224 está abaixo do preço no nível da baixa de ontem. Então, até as notícias, o preço pode se mover nessa faixa do saldo - MZ.
Attachment 787
Agora é a vez da libra. Também tem uma situação de venda. Abertura abaixo da zona obrigatória de 1.4041-1.4053. Além disso, o preço ficou acima do saldo, mas voltou abaixo em 1.4007. Boas vendas serão da zona obrigatória, se um sinal for dado. Cerca de 40 minutos atrás, havia um sinal para vender e eu vendi. Meu alvo está no limite inferior do OC em 1.3949 (até um pouco menor). As entradas para compras são mais cautelosas hoje.
Attachment 788
OBS. Não se esqueça de que os dados sobre as folhas de pagamento não agrícolas que serão publicados hoje, por isso devemos negociar com mais cuidado.
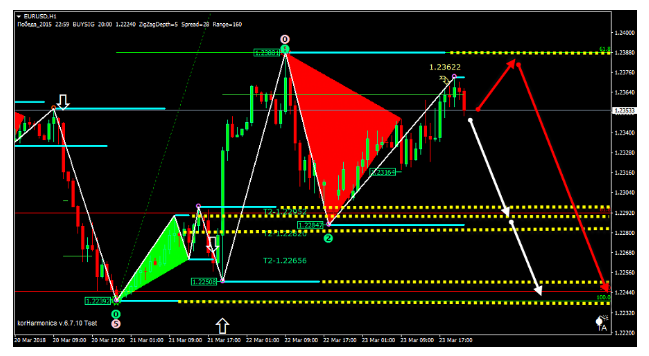
4 Attachment(s)
Perspectiva de mercado para os principais
Euro:A tendência de queda continua. Este é o momento em que a ideia de negociação se mostrou correta. Por isso, nós agressivamente cobrimose sorrimos. Os asiáticos conseguiram reforçam ligeiramente o euro, mas não por muito tempo ... Ao nível da SR - 1,2254. Portanto, há uma posição curta.
Attachment 791
No carga-descarga delta, há oscilações. Tentativas dos compradores para mudar a tendência são mal sucedidas. A densidade chave de 1,2224 - 1,2240 se a prioridade dos americanos. Empurrado abaixo e definidno-o - pode-se supor que o movimento continuará:
Attachment 792
Na Globax, há + 3.840 contrato de OI que aumenta o interesse em posições vendidas. No momento, o nível de RS dos americanos de ontem é testado. Se você conseguir uma correção acima de 1.2260, o cenário do norte é possível.Quanto ao mercado atual: curto. Com alvoss para um mínimo ultrapassado!
Attachment 793
Em relação à libra, aqui está uma técnica como essa: o nível SR de 1,4014 tornou-se válido - uma reação. Posição curta:
Attachment 794