2 Attachment(s)
EUR/USD - Análise atualizada de mercado
Olá pessoal,
Não vou tirar conclusões, é muito cedo, deixe a sessão europeia nos mostrar sua tendência.
Em relação a perspectiva técnica, não tenho o lado ruim e positivo hoje. Existem movimentos discordantes. Isto significa que pode ser puxado em ambas as direções, mas desde sexta-feira, os touros tiveram a vantagem.
Além disso, o 1H confirma o lado positivo, embora não haja uma tendência forte, apenas lateralmente. Se vamos em ondas, isso significa que esta é uma tendência lateral, mas na verdade, para cima. Se os touros não pararem hoje, teremos que esquecer a desvantagem por um tempo. Vamos ver se vamos receber 1,1340, ou haverá um salto. Embora eu tenha 1,1370 como salto, não vejo força para um salto em 1,1340. Eu posso dizer com segurança que dois níveis fortes são 1.1370 e 1.1260, e estamos entre eles.
Attachment 3266
Quanto às áreas, o nível de 1,1320 já foi atingido, e há outra área de 1,1283 a ser atingida.
Attachment 3267
3 Attachment(s)
EUR / USD - Visão de mercado
Olá a todos!
Até agora, podemos ver uma tendência de baixa pura. É muito cedo para falar sobre um rebote antes de pelo menos uma condição técnica necessária ser cumprida, especialmente quando se trata do período D1.
Esta imagem ilustra bem as condições de uma mudança de tendência.
Attachment 3268
O primeiro sinal de uma inversão de tendência é uma quebra da alta anterior. Ainda assim, não é suficiente para confirmar a mudança de tendência, pois, pode ser uma falsa fuga e a tendência pode continuar.
O movimento descendente tem que ocorrer após tal fuga para formar o sinal de reversão. Além disso, esse movimento descendente não deve ultrapassar a mínima anterior.
Então, a quebra da última alta após essa correção sinalizará a mudança de uma tendência. No entanto, isso não garante a reversão, mesmo que todas as condições para entrar no mercado sejam atendidas.
Além disso, há muitos outros modelos de inversão de tendências que os traders devem prestar atenção.
Attachment 3269
Esses modelos são diferentes, mas todos eles têm uma coisa em comum: a última recuperação não deve ultrapassar a máxima anterior, enquanto um sinal para vender é formado quando o preço rompe a última mínima.
Então, quando vemos algo semelhante em nosso gráfico, podemos dizer que a tendência mudou. Por enquanto, é verdadeiramente de baixa.
Muitas vezes o euro e a libra se movem de forma semelhante. No entanto, seus movimentos não são sincrônicos ultimamente.
Na sexta-feira, tanto o euro quanto a libra tiveram um mercado forte, o da libra foi ainda melhor.
Espero que o euro não fique parado quando a libra subir.
Houve um grande volume em um ponto na sexta-feira antes do preço cair. Enquanto isso, o delta foi positivo. Talvez houvesse um monte de negociações de compra de mercado que foram restringidas pelos acordos de limite para vender.
A penúltima vela descendente foi formada no delta negativo, e o volume estava acima da média. Porém, a última vela descendente foi formada no delta negativo, e o volume era quase máximo. As compras no mercado foram confirmadas com o aumento do preço após a sua aparição.
Tal sinal poderá ser considerado como um reverso.
Após o crescimento, houve um acréscimo de um grande volume no delta negativo, mas as vendas não foram confirmadas, e o preço continuou a crescer mais.
Attachment 3270
4 Attachment(s)
EUR/USD - Visão de mercado
Bom dia, traders,
O dia de hoje é muito promissor, então, por favor, sigam minha previsão. Hoje eu espero que o preço atinja 1,1265 em uma baixa. Este é o nosso alvo principal e mais importante. Embora, a princípio, o movimento descendente seja confirmado por uma quebra de 1,1294 no comércio europeu. Depois disso, o caminho para 1.1265 estará aberto. No caso de uma quebra em 1.1265, o alvo será 1.1210. Por outro lado, a quebra de 1,1333 cancelará o movimento descendente.
Se esse cenário ocorrer, a quebra de 1,1333 confirmará a direção ascendente. Dessa forma, as coisas vão de outra forma, então os alvos serão 1.1350 e 1.1360. A fuga de 1.1294 cancelará o movimento ascendente.
No entanto, não espero nenhum movimento forte, hoje vamos apenas preparar o terreno.
Attachment 3278
Curiosamente, todas as linhas nos prazos rápidos voltaram-se para baixo no comércio asiático. Portanto, acredito que temos uma chance de alcançar a mínima da última sexta-feira. De qualquer forma, vamos ver o que o comércio europeu traz.
Attachment 3279
Uma pequena digressão, vamos olhar para níveis fortes.
Acima - 1,1370, 1,1550, 1,1610.
Abaixo - 1.1265, 1.1210, 1.1140.
Lembre-se desses níveis. Quando o preço se aproximar deles, vai ser difícil. Em qualquer caso, você vai entender se será um rompimento ou salto.
Hoje, nossos alvos mais próximos são 1,1265 ou 1,1370. Pretendo chegar a 1.1265, mas se não conseguir, então 1.1370.
Attachment 3280
Atualmente, temos um recuo menor do movimento ascendente que pode continuar. Somente se a linha de tendência ficar abaixo de 1.1265, a tendência mudará. Não há nada importante no Calendário Econômico, então podemos ficar presos em um intervalo de 1.1265-1.1340.
Attachment 3281
4 Attachment(s)
EUR/USD - A Europa mostrou até onde pode ir sem os americanos.
Olá pessoal,
Após o feriado, os americanos devem dar um bom passo e fornecer orientação durante toda a semana.
Normalmente, na terça-feira, o preço visa trabalhar e nos dá a oportunidade de ganhar.
A venda intradia de ontem foi fechada com um pequeno lucro.
É por isso que é chamado de negociação intradiaria, para não se estender por semanas.
Como eu esperava, segunda-feira foi chata em termos de movimentos do par.
Apesar desse pequeno intervalo de 30 a 40 pontos, alguns conseguiram obter um bom lucro.
Agora vamos falar sobre planos de curto e longo prazo.
Ideia de negociação para a negociação intradiaria.
Attachment 3286
Ontem, a Europa mostrou que não pode definir uma direção e fazer uma boa corrida sem os americanos.
Hoje, a saída da faixa de 1.1290-1.1330 indicará o humor dos especuladores.
Se conseguirmos consolidar abaixo de 1.1290, continuaremos a recusar o suporte em 1.1250.
E sob boas condições (quando os vendedores colocarão pressão), a baixa local de 1,1233 será atualizada.
A próxima atualização da baixa pode ser diferente, portanto, vale a pena considerá-la com mais detalhes.
Se o preço recuar e atualizar o valor baixo e retornar ao intervalo, isso indicará a remoção de compradores de curto prazo e / ou a retirada da posição do vendedor.
Não posso dizer com certeza, já que não há possibilidade técnica de observar a verdadeira imagem do mercado.
Existem apenas sinais de comportamento com a ajuda dos quais podemos assumir uma ou outra manipulação.
Então, quando o preço conseguir consolidar abaixo do mínimo, os seguintes sinais do vendedor serão vistos:
- aumento do volume;
- acumulação de posições pelo vendedor com ordens de mercado (grande delta negativo), ou pelo engolfamento do comprador (com um delta positivo, o preço cai);
- segurando a área (sem retornar ao intervalo de onde saltamos).
Attachment 3283
Quanto às compras de longo prazo, ainda acho que há uma chance maior de subir.
Mas isso não significa que isso irá definitivamente acontecer. Há apenas argumentos a favor do crescimento.
Os principais e mais importantes são:
- um longo acúmulo de compras com ordens de mercado;
- Por mais de uma semana, o preço não foi capaz de ir mais longe, só há fugas falsas.
- na sexta-feira, após a atualização regular, o delta era tendencioso (o comprador mantinha todas as vendas no mercado por ordens de limite);
- o preço está na parte inferior do contrato de março, aqui está o apoio do comprador.
Attachment 3284
Em vista do exposto, pode-se supor que há uma chance maior de crescimento.
Embora o sinal ascendente ainda não tenha sido confirmado.
A confirmação do crescimento será a consolidação acima da área de resistência de 1.1360-1.1370 (1.1333-1.1343).
O alvo mais próximo para o crescimento é o nível de 1,1450 (1,1420)
É aí que o desequilíbrio ocorreu quando o vendedor empurrou o suporte e engoliu todos os compradores.
No mesmo lugar passaram grandes volumes que o preço ainda não testou.
E o mercado tende a fechar dívidas, portanto, espero pelo menos um retorno à zona 1,1420 para poder testar esse nível.
Este é o primeiro alvo, mas não o último.
Quanto ao histórico de notícias, não há eventos significativos hoje.
Embora os dados sobre o sentimento econômico ZEW na Alemanha e na Europa possam ter um impacto sobre o euro.
Se esses dados forem positivos (acima do esperado), poderemos ver uma atualização da alta de 1,1333.
Embora de acordo com as estatísticas, não há nada interessante lá.
Attachment 3285
Desde abril do ano passado, o índice caiu abaixo de zero e não conseguiu subir. Este é também um ponto negativo para o euro.
Isso é tudo. Boa sorte a todos.
3 Attachment(s)
EUR/USD - Visão de mercado
Olá pessoal,
Ontem, a libra mostrou suas verdadeiras cores. Em meio às notícias, o movimento somou 170 pontos.
Além disso, também houve uma ideia de comprar a libra, mas como o nível de venda não foi alcançado, não abri um acordo. Ainda bem que consegui comprá-la na sexta-feira e, na segunda-feira, recebi meus cem pontos de lucro do mercado.
Quanto à negociação de opções, tudo ficou bem claro.
Intervalo esperado:
Ao nível de 1.1300 / 1.1275, as opções de venda foram bastante negociadas ontem. O preço retornou a este nível de 1,1325 por um bom motivo.
Mas depois de atingir 1,1275, a taxa se inverteu, subiu e até conseguiu romper o nível da chamada, bem como a faixa de prêmio de risco com um pequeno bônus acima.
O fato de que tal manobra indica a presença de um bom comprador é claro, mas o fato de que o preço foi fixado acima do nível de chamada é outra confirmação de que é hora de fechar as vendas e passar para as compras após um recuo.
O alvo pretendido para o dia de amanhã será possivelmente em 1.1450, portanto há uma chance de comprar e obter um lucro de 100 pontos.
Attachment 3290
Interesse aberto:
Eu prestarei especial atenção ao contrato com vencimento na quarta-feira. O nível de Max Pain para este tipo de contrato está no nível de 1,1350, e este nível está sendo testado pelo preço. Pode-se dizer que o objetivo principal, ou seja, o nível de equilíbrio, foi alcançado e agora é possível subir ou descer.
Como o intervalo esperado sugere que há uma perspectiva de crescimento, podemos tentar comprar a preços atuais.
Attachment 3291
Ações de negociação:
Primeiro de tudo, fechei minhas duas compras com lucro, no topo do prêmio de risco.
Em segundo lugar, se o preço for realmente mantido acima de 1.1340, poderemos comprar, em caso de declínio, poderemos definir o curso em 1,1275.
Finalmente, o ponto local de 1,1340 foi quebrado e o preço agora está neste nível.
Segundo as estatísticas, na maioria das vezes, tais manobras são trabalhadas para a continuação do impulso, e não o contrário.
O acúmulo de compras foi grande demais para fazer um movimento de baixa sem um grande aumento de preço.
Pode ser bom se o preço subir para 1,1440, mas depois, embora haja todas as condições para tal crescimento e isso já pode ser feito hoje.
Attachment 3292
3 Attachment(s)
EUR/USD - Análise de mercado atualizada
Olá traders,
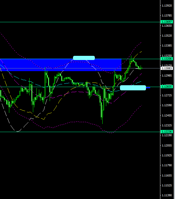
Eu não sei o que aconteceu ontem, mas na verdade, houve um bom movimento de alta. No momento, o preço está em 1,1340, e isso é um sinal positivo.
Eu mesmo espero um recuo. Os níveis de rebote são 1.1320 e 1.1300. Até agora, não há sinal para um recuo, possivelmente vamos vê-lo durante a sessão europeia.
Se houver um recuo para o nível de 1.1320, é normal para o lado positivo, mas se houver um recuo para o nível de 1.1300, o lado positivo será quebrado e o o 1 H mudará para baixa. A diferença é de 20 pontos.
Em geral, enquanto estamos enfrentando o lado positivo, o alvo é 1.1370. A invalidação do rompimento é 1.1300.
Attachment 3293
Quanto aos níveis de 1.1360 e 1.1370, já tenho planos. Ao atingir esses níveis, o 4H é voltado para cima. O nível de 1,1370 também está se recuperando. Vou esperar por um recuo lá embaixo, o 4H executará seu zigue-zague para baixo, seguido pela continuação do movimento ascendente. É por isso que hoje é muito importante para eu ver o que o recuo nos dará e qual será o nível. O fato de que vamos conseguir hoje também é muito importante para a tendência de alta. Porque tudo isso pode fazer a diferença. Quanto a negociação intradiária, ainda não há nada de interessante. O M15 enfrenta uma alta, mas muitas débitos foram deixado na baixa. Vamos ver como isso se desenrola.
Attachment 3294
Existe uma opção com 1.1370 e 1.1380, um salto e uma reversão para baixo, mas com um movimento subsequente para cima. Mas tenho dúvidas sobre a tendência de alta. Eu não gosto de velas diárias. Na verdade, vejo que há uma alta, mas com um leve sinal descendente, vou trabalhar firmemente para os níveis de 1,1210 e 1,1190. Eu nem sei em que nível vou acreditar na alta. Até então, ainda aposto na baixa.
Attachment 3295
3 Attachment(s)
EUR/USD - Análise de mercado atualizada
O euro está agora na tendência lateral, e qualquer aumento no preço é imediatamente compensado pela redução, sem dar uma oportunidade tanto para os compradores quanto para os vendedores lucrarem.
Intervalo esperado
Quanto à negociação de opções intradiaria, os principais níveis de suporte e resistência foram de 1.1300 e 1.1400.
Esses níveis podem ser facilmente transferidos para os limites de preços atuais, a partir das quais podemos começar a trabalhar.
Ontem, os níveis com o volume máximo foram nos ataques de 1,1150 e 1,1500.
Na conta de saber se o preço poderá descer para 1,1150, não posso dizer nada, mas um aumento para 1,1400 e depois para 1,1500 é bastante real.
Attachment 3304
Interesse aberto.
Quanto ao novo contrato, que entrou em vigor ontem, há uma situação curiosa no novo contrato.
No momento, o nível de colocação com o máximo de juros em aberto é maior do que o nível de chamada.
E o Max Pain está no nível de compra. Em suma, há uma espécie de confusão. Aparentemente, os investidores estavam se perguntando se deveriam iniciar o crescimento adequado e sair do plano de quatro meses ou tentar novamente atualizar o mínimo de 1,1215.
Até agora, estou aderindo à primeira opção e, se não vir sinais claros do vendedor, recuso-me a vender e comprar em meio a correções ou depois de ultrapassar o nível da chamada e a consolidação acima.
Quanto ao contrato semanal, a tendência atual do mercado é claramente vista, mas os níveis de opção não ajudaram muito na compreensão de onde o preço será em uma semana.
Attachment 3306
Ações de negociação:
Como a taxa está subindo lenta mas seguramente, decidi remover as compras limitadas e parar apenas uma compra de trabalho com alvo de 1,1439.
A ordem de stop loss foi colocada logo abaixo de 1.1244.
Além disso, abri uma nova compra limite ao nível de 1.1285. Parar a perda e ter ordens de lucro são 100 pontos cada, o risco também é padrão, 3% do depósito.
Eu queria vender de 1,1380, mas depois decidi comprar apenas sob boas condições de opção.
Boas vendas serão quando eu vejo a saída de grandes compradores do mercado.
Claro, ninguém proíbe vender usando escalpelamento, mas como eu estabeleço metas de 100 pontos para a transação, não vejo sentido em me distrair com as vendas.
Attachment 3305
3 Attachment(s)
EUR/USD - Visão de mercado
Bom dia pessoal,
De fato, os touros conseguiram o que queriam quando o preço chegou a 1.1370 sem nenhum problema.
Enquanto isso, as notícias de ontem da reunião do FOMC não mudaram muito. Bem, eu esperava isso.
Agora, aqui estão meus pensamentos sobre o movimento atual do par EUR / USD.
Eu acredito que o preço irá recuar para 1,1324 e então se recuperar para 1,1350. Depois disso, ele recuará novamente para 1.1300 e enfrentará uma zona de resistência lá.
Eu acho que um movimento notável ocorrerá apenas na sexta-feira, hoje o par deve negociar plano.
Attachment 3307
Atualmente, o 1H está indo para cima. No entanto, tenho um sinal de direção descendente em M15, temos que considerar esse fato. Embora a quebra de 1,1362 cancele o movimento descendente.
Attachment 3308
O que é necessário para obter uma tendência de baixa
Para que a tendência se torne baixa, deve haver um movimento em zigue-zague no 1H. Quando a linha branca no 1H estiver indo para baixo, isso significa que os ursos estão vencendo. Quando está na posição horizontal - as chances são de 50/50. Por enquanto, a linha branca está indo para cima, então a tendência pode permanecer otimista. No entanto, espero que mude para baixa.
Attachment 3309
4 Attachment(s)
EUR/USD - Visão de mercado atualizada
Olá pessoal,
Tenho notado que o histórico de notícias atende à análise técnica, de modo que algumas notícias são ignoradas no mercado (elaboradas com antecedência). A situação no mercado é atualmente muito deprimente, talvez devido às negociações comerciais EUA-China. Grandes investidores estão esperando e não abrem posições. Devido à incerteza sobre o sucesso das negociações, todo o mercado está no mesmo lugar. Mas para nós, pequenos especuladores, ao contrário de grandes investidores, o movimento de 50 pontos também é um lucro.
Eu pessoalmente não noto uma quantidade enorme. Como você pode ver no perfil de volume, o volume inteiro está espalhado e não é possível determinar o preço exato onde exatamente eles compram e vendem. Ouso concluir que todo o volume inclui ordens de compra e venda. Agora todo mundo tem sua própria verdade, alguém está esperando pelo preço de 1,14, enquanto alguém - a 1,12.
Attachment 3310
Com base mesmo no gráfico de posições abertas, pode-se argumentar que ações quase iguais de ordens estão abertas em ambos os lados. Neste caso, resta esperar até o mais forte vencer e pular se recuperar.
Attachment 3311
No gráfico horário, podemos ver o canal ascendente. Segundo ele, o nível de suporte para o canal é esperado em 1,1320. O que me preocupa é que todo o mercado vê esse canal. Quando muitos sabem o que está localizado no gráfico (figura, vela, resistência importante), o preço vai na direção oposta.
Attachment 3312
O gráfico diário está nos chocando cada vez mais. Ontem, um padrão de reversão de Doji foi formado novamente. Mas dado o fato de termos nos recuperado das mínimas do gráfico diário de 1.1240, devemos esperar mais um movimento ascendente, mas não tenho certeza.
Attachment 3313
Conclusão: Estou olhando para o gráfico e não entendo o que está acontecendo, nem é possível prever para onde iremos. Eu acho que a razão é a situação entre os EUA e a China, seu acordo comercial. Quando houver dados precisos, ficará claro qual caminho a tendência deve ser a médio prazo.
1 Attachment(s)
EUR/USD - Visão de mercado atualizada
Olá traders,
Agora é possível vender. Isto é o que eu faço.
O euro está apenas começando a subir, então será difícil voltar a colocá-lo no 12º.
O topo de ontem do canal de opções mudou de 1369 para 1443 e isso já é interessante.
O saldo do dia está na alta de ontem - 1375. É aí que precisamos ir, mas será muito difícil consolidar acima.
Os fundos foram retirados e agora é 1315, onde há uma zona obrigatória de 1321-35. Portanto, podemos esquecer o declínio do euro, apenas um pequeno aumento e correção para ele. E isso pode levar um bom tempo, algumas semanas.
De acordo com meus cálculos, hoje, o intervalo de negociação é 1372-1318. A área que define a direção é 1326-44. Se estivermos acima, devemos comprar; Se estivermos abaixo, devemos vender. Mas será difícil passar por lá. Pessoalmente, vou fechar minhas vendas no início do 13º digito.
Attachment 3315