5 Attachment(s)
EUR/USD - Análise de mercado atualizada
Olá pessoal!
Ontem, o preço se recuperou do nível de suporte de 1.1230, e foi isso, ninguém empurrou acima de 1.1285.
Aqui está o que eu postei ontem:
Então, a direção intradiária para hoje é baixa.
O preço desceu e entrou na zona de venda.
Nós temos um forte apoio em 1.1230 como é:
- zona central da semana anterior
- zona do comprador
- parte inferior do contrato atual.
Então, se você pensa em compras, é o melhor ponto para entrar no mercado.
Attachment 3681
A propósito, os ursos intradiaria de ontem apareceram bem antes das notícias às 15:30, e então o preço caiu.
Eles fizeram bem, no entanto, essa direção não durou muito tempo.
Depois de várias horas, o preço voltou aos níveis do início da negociação.
Observar a distribuição de volumes pode fornecer uma imagem mais detalhada e clara.
Você pode ver onde e quanto os ursos e touros são adicionados.
Attachment 3682
Assim, os vendedores estavam ativos em torno de 1,1278-1,1265, adicionando um volume notável ao delta negativo.
A reação não demorou muito e o preço caiu imediatamente.
No entanto, como eu disse antes, havia muitas limitações no lado negativo. Então, os touros pararam a tendência de baixa em um dos níveis mais fortes. Eles colocaram volume ainda maior do que os ursos e empurraram o preço para cima.
Notavelmente, no final do dia, o preço voltou exatamente para a zona onde os ursos acumulam volumes.
Agora, vamos falar sobre nossas expectativas para hoje.
Olhando para o gráfico, podemos ver claramente que podemos empurrar o preço acima de 1.1280 + -. Embora não por muito tempo. Portanto, não espere o movimento de 100 pips nessa direção.
Por outro lado, não há perspectivas de desvantagem em tudo.
Bem, existem alguns muito menores.
Os touros parecem sérios, apesar da pressão.
Quanto a mim, espero o movimento ascendente. O primeiro alvo é 1.1320 + -. Depois disso, vamos ver.
Attachment 3683
Além disso, verifiquei as posições dos comerciantes na comunidade de livros. Posições ficaram quase iguais. Mesmo que o urso ainda prevaleça, é mais provável que o preço suba.
O problema é que, no caso de uma tendência de baixa, os vendedores lucrarão, enquanto os compradores podem reduzir suas perdas com uma tendência de alta. Portanto, é lógico apoiá-los porque são menos.
Isso é o que eu espero do comércio de hoje.
Attachment 3684
O EUR / USD está em uma faixa estreita, uma vez que os bears colocam um volume significativo no lado positivo, enquanto os touros pressionam o preço para baixo.
Traders asiáticos não mudaram muito. Então, vamos ver o que a sessão europeia traz. Se os europeus ultrapassarem 1.1280 ou passarem a iniciativa para os americanos.
De qualquer forma, o preço tem que sair do canal para ter mais movimento.
Considerando tudo, não tenho motivos para vender, prefiro esperar e comprar de baixo.
Eu não abri as posições longas ontem, pois já tenho duas.
Se o preço for mais alto, adicionarei apenas.
A propósito, de acordo com o relatório CME para ontem, o volume de negócios aumentou notavelmente. É um bom sinal.
O juro aberto também aumentou. No entanto, não sei quem entrou no mercado - vendedores ou compradores.
Attachment 3685
3 Attachment(s)
EUR/USD - Visão de mercado
Olá traders,
Acho que hoje é melhor procurar oportunidades para comprar do que vender.
Ontem, houve um impulso para baixo acentuado que rompeu o nível de resistência técnico de 1.1255, mas o preço não conseguiu consolidar menor.
Portanto, o rompimento foi falso e agora é melhor comprar a partir dela.
Ontem fechei a venda que foi aberta a partir do limite superior do canal. No mesmo nível, abri um acordo de compra.
No nível de 1.1255, hoje, há um nível de suporte horizontal, do qual podemos comprar novamente.
Agora, o preço está sendo negociado acima dessa faixa, o que indica a força dos compradores, então pegue a ordem de lucro para a compra pode ser colocada na parte de trás do canal.
Para criar outro sinal para compras, é necessário que o preço seja capaz de fazer um rompimento e teste bem-sucedidos do nível 1.1285.
Este teste e o começo do crescimento deste nível serão uma condição para abrir uma operação.
O nível de resistência mais próximo está na faixa de 1.1330, portanto, esse nível pode ser distinguido como o nível para colocar a primeira ordem de lucro.
Attachment 3686
Se considerarmos a situação atual de acordo com o delta, podemos ver uma tentativa de ganhar vendas e uma tentativa de ganhar compras.
Depois que houve um impulso para cima, muitas vendas no mercado foram adicionadas.
O volume aumentou em meio ao impulso ascendente que foi feito após a quebra de 1,1285.
Esse momento foi formado no delta negativo, o que indica a presença de um grande número de vendas no mercado.
Essas vendas foram confirmadas e o preço conseguiu diminuir em 50 pontos.
Além disso, podemos ver a adição de ofertas de compra com um grande volume e um delta positivo.
Essas compras foram adicionadas depois que um falso rompimento se formou.
Se analisarmos o intervalo de vendas apenas de acordo com o delta, o nível de resistência pode ser distinguido na área de 1.1285, enquanto o nível de suporte - na área de 1.1255.
Attachment 3687
No momento, a taxa está sendo negociada dentro do canal ascendente.
Ontem, o preço testou com sucesso tanto o intervalo do canal superior quanto o inferior.
No momento, o principal alvo de crescimento está no nível de 1.1285.
A partir desse intervalo, podemos abrir ofertas de venda com o alvo na parte de trás do canal.
A largura do canal é de cerca de 50 pontos, por isso podemos tentar ganhar outros 20 pontos comprando a partir dos preços atuais.
A consolidação de preços acima da borda superior do canal será um novo sinal para abrir uma ordem de compra.
Attachment 3688
3 Attachment(s)
EUR/USD - Visão de mercado
Olá a todos.
Vamos descobrir o que eu espero do 1H. Ontem, o 1H fez a primeira reversão em zigue-zague para baixo. E então eu espero outra abordagem de alta, mas não muito longe, para o nível de 1.1270 e não excluo o movimento para 1.1290. Depois de um pequeno zigue-zague ascendente, precisamos passar por 1.1260 com a continuação do movimento descendente. Bem, neste caso, o 1H dará a primeira onda para baixo. Provavelmente você acha que o recuo já foi feito, mas espero um recuo para 1.1270 e 1.1290 em H4. Espero que façamos tudo hoje.
Attachment 3695
Níveis apontando o caminho para o lucro.
Ontem contei sobre expansões e contrações, então a contração aconteceu. Minhas expectativas com base na análise técnica foram atendidas. Não houve saída de 1,1287 e de 1,1229. E se não há saída, isso significa que temos estreitos.
Para hoje, quanto aos níveis intradiários, o topo é 1.1286, o fundo é 1.1255. Eles vão nos mostrar o caminho para o lucro.
E agora vamos considerar para onde iremos quando houver a quebra desses níveis.O rompimento do nível 1.1286 abrirá o caminho direto para 1.1320, talvez um pouco mais alto, mas eu vejo 1.1320.
Mas um rompimento de 1.1255 nos dará uma boa chance de queda. O 1H confirmará a tendência descendente. Os níveis abaixo são 1.1220, 1.1180-90 e 1.1130. Aqui está uma jornada para baixo que esperamos. É por isso que precisamos do caminho aberto na direção descendente. A tendência de alta não é a prioridade para mim ainda.
Attachment 3696
Negociação intradiaria
Ontem, observei que um grande recuo interromperia a tendência de queda durante o dia. Então, a tendência de queda é quebrada e M15 entrou na área de “compra”.
O alvo é 1.1320. O nível de 1.1286 confirmará a tendência de alta. O cancelamento da tendência de alta é de 1.1255.
Embora o M15 tenha entrado nas áreas de “compra”, ainda está no flat.
Attachment 3697
3 Attachment(s)
EUR / USD - Análise de mercado
Olá traders,
O preço não chegou ao meu preço, onde eu queria vender. Em 1.1296-8, eu queria abrir um contrato de venda com uma ordem de curto prazo de não mais de 10 a 15 pontos. Mas isso não aconteceu. Provavelmente, eles entenderam que, se dessem um preço mais alto, os operadores mais inteligentes acrescentariam mais vendas com maior volume. E eles simplesmente impediram aqueles que tinham intenções de realizar seus planos.
Attachment 3698
O preço de 1.125x não é a opção perfeita. Mas, em qualquer caso, os cambistas conseguiram ganhar. O preço está voltando agora, e este é o cenário daqueles que decidiram vender o par a 1.126x. Eles terão que esperar por 1.129x ou definir a perda.
É um corredor? Ou estamos nos preparando para um movimento para 1.14xx?
Estou aderindo à primeira opção. Esta é uma situação completamente normal que o comércio entre as fronteiras da tendência lateral é um movimento ideal para cambistas, desde que os limites estão definidos e marcados, podemos até colocar as ordens pendentes ao longo das fronteiras por cerca de 10 pontos e lucrar na direção oposta . Bem, aqueles que contam cada pip, irão esperar pelo número estimado para o par, para aumentar o volume de negociação ou conseguir. Vamos definir os limites da tendência lateral, vou mostrar minhas expectativas, você pode se concentrar nelas, algo pode ser interessante para você.
Attachment 3699
Limites da tendência lateral:
Limite superior é de 1.128x;
Limite inferior é 1.123x;
Falso rompimento 1.1296; 1,121x;
Vou me concentrar nesses níveis de preços principais para o final da semana atual e negociá-los na direção oposta. O rompimento e a consolidação acima dos níveis com um falso rompimento indicam a formação de novas máximas e mínimas dos preços.
Attachment 3700
Volumes:
Como eu disse, iniciantes abriram ofertas de venda a 1.126x. Agora podemos restringir a tendência lateral e, então, faz sentido não entrar no mercado, mas apenas depois de deixar a atual tendência lateral. Mas penso que hoje, o movimento dos preços será determinado e será mais fácil para fazermos alguns planos e não esperarmos 4 a 5 dias úteis, como aconteceu antes.
3 Attachment(s)
EUR/USD - Análise de mercado atualizada
Olá caros traders,
Este é o fim da semana de trabalho e ainda há uma chance de ganhar dinheiro antes que ele termine.
As expectativas de crescimento de ontem foram atendidas. O suporte foi alcançado e a abertura das compras foi iniciada.
A taxa já passou a maior parte do caminho planejado, restam literalmente 50 pontos e o plano para hoje será implementado.
O fato de as aquisições terem sido adicionadas em meio à queda na quarta-feira já é claro, já que isso é confirmado tanto pela análise técnica quanto pelas opções.
A faixa de negociação de opções indica que hoje, a taxa pode ser reforçada para a marca de 1,1340.
Considerando o nível de compra principal, hoje, é na greve de 1,1400. Espero o crescimento máximo da taxa hoje.
Por favor, note que o nível de Max Pain está em 1,1325 e este nível foi alcançado hoje.
Agora a taxa é capaz de atingir novos picos. Esses movimentos inesperados geralmente acontecem na sexta-feira, antes do final de semana.
O principal suporte está atualmente em 1.1300 a preços futuros. Estas serão metas mínimas e espero que este nível não seja testado hoje.
Como resultado, o intervalo de negociação é de 75 pontos. O limite inferior já foi testado, a superior permanece.
Attachment 3701
Mudanças no interesse aberto.
Ontem, as opções de chamada foram adicionadas na greve de 1,1325. Alguém decidiu segurar suas vendas no local e esta foi a decisão certa, já que hoje, o preço já quebrou essa greve e, em caso de crescimento, as perdas serão limitadas.
O número de 652 novos contratos de chamada é bastante grande e o fato de por que motivo eles abrem esse seguro me faz pensar .
Quanto às opções de venda, a atividade de ontem também foi alta, já que 518 novos contratos foram adicionados em 1,1275 e 174 novos contratos de venda - em 1,1300.
Isso significa que não há razão para reduzir o preço abaixo da 13ª preço atual.
Attachment 3702
Plano de Negociação para hoje:
Hoje, espero que a taxa continue fortalecida.
Eu estabeleço metas para compras atuais perto da marca crítica para crescimento em 1.1340.
Alcançar a marca de 1.1340 não só nos permitirá fechar todas as compras com lucro, mas também nos fornecerá uma excelente oportunidade para abrir ofertas de venda.
Os alvos serão o nível atual de 1.1265, mas desde segunda-feira, elas podem ser ajustadas de acordo com as mudanças do mercado.
Attachment 3703
3 Attachment(s)
EUR/USD - Visão de mercado atualizada
Boa Sexta-Feira para todos!
Parece que o euro vai disparar hoje. Ele já renovou sua alta na sessão asiática.
É interessante, eu não vejo esse movimento há muito tempo.
Attachment 3704
Se você observar os volumes de ontem, poderá ver como os vendedores reduziram o par para 1,1250. No entanto, o euro conseguiu resistir a essa pressão e passou pela zona de baixa.
Isso sinaliza uma tendência de alta. Talvez não seja tão forte quanto eu gostaria, mas pelo menos uma direção ascendente é confirmada.
Portanto, é melhor evitar ofertas de venda agora - minha opinião pessoal.
Quanto a mim, só estou comprando por enquanto. Eu tive uma pequena posição curta intradiaria e fechei com uma perda.
Ontem, o preço se recuperou da zona do contrato POC e este ano o POC também indica o sentimento de alta.
Attachment 3705
Além disso, o preço também se recupera da linha de tendência, então as coisas parecem não ser tão ruins assim.
Eu vejo dois cenários possíveis para hoje:
- recuar para 1.1274 e depois crescer;
- Rally sem um recuo prévio.
A segunda opção é mais provável. Embora, o preço ainda tenha que voltar aqui mais cedo ou mais tarde.
Os volumes em D1 mostram que estamos acima de um poderoso nível de suporte agora.
Não foi fácil chegar aqui, mas o EUR conseguiu.
Espero que o preço atinja 1,1320-1,1330, talvez até mais.
Caso o par suba do nível atual, é provável que recue de 1,1320.
Parece ser a opção mais provável. Embora algumas correções possam ocorrer.
O relatório do CME não apresentou grandes alterações. O volume de negócios é baixo.
Basicamente, a situação permanece mais ou menos igual.
Attachment 3706
3 Attachment(s)
EUR/USD - Visão de mercado
Olá caros especuladores,
Hoje, quanto aos níveis intradiários, o topo é 1.1323, enquanto o inferior é 1.1281. A quebra desses níveis indicará a direção dentro do dia. De acordo com a análise técnica, o caminho ascendente para 1.1440 está aberto, mas duvido que os bulls possam aceitar tal saída no sentido ascendente. Mas a quebra de 1,1281 nos abrirá o caminho para o alvo de 1,1230. Agora resta esperar que um dos níveis intradiários seja quebrado.
Attachment 3711
Nós ainda temos a tendência ascendente. No 4H e 1H se viraram. No 4H, houve uma onda. O 1H é direcionado para o lado positivo. M15 está direcionado para cima. Os principais prazos mudaram para cima. Aqui, todos devem decidir se trabalham para cima ou se afastam. Bem, eu gosto de pegar reversões, então vou esperar pela sessão americana para decidir exatamente o que fazer com o par EUR / USD. E agora vamos descobrir as opções para um recuo e considerar onde a tendência de alta será quebrada.
M15 vai para a área de "venda" em 1.1290.
H1 vai para a área de "venda" no nível de 1.1275.
Ao atingir o nível de 1.1235, é esperado um ressalto no 4H.
A partir desses níveis, veremos onde o EUR / USD irá.
Attachment 3712
Negociação intradiaria.
Dentro do dia, M15 ainda é direcionado para cima. O alvo é 1.1340. A confirmação da tendência de alta é a quebra de 1.1323. O cancelamento da tendência de alta é de 1.1281.
Quando chegarmos a 1,1281, vamos quebrar a tendência de alta em M15 e 1H, então vamos esperar por outro movimento ascendente e reversão para baixo. Bem, para uma reversão completa, devemos esperar que o 1H faça uma onda para baixo. Enquanto isso, a tendência é de alta e, para nos voltarmos ao lado negativo, temos que fazer zigue-zagues. O primeiro zigue-zague ocorrerá em M15 e depois no 1H. Então, aqueles que têm medo de baixar o preço, não devem se preocupar, sempre teremos tempo para trabalhar contra a tendência.
Attachment 3713
4 Attachment(s)
EUR/USD - Análise de mercado atualizada
Olá caros traders,
Os asiáticos começaram a levar o par ao topo.
O gap foi fechada e o movimento ascendente começou.
Agora vamos ver o que vem a seguir.
Eles serão capazes de romper 1,1323 ou recuar?
Agora eu tenho algo parecido com isto:
- por volta de 1,1240-1,1250, os touros conseguiram parar o vendedor, ganharam liquidez suficiente e empurraram o preço para 1,1290;
- então eles desceram para testar esta zona, o teste foi bem sucedido;
- depois de testado, o preço subiu e atualizou 1.1290, depois houve um pequeno recuo e um movimento ascendente novamente;
- no caminho para 1.1320, os vendedores tentaram parar os touros;
- em 1,1323, o comprador desistiu e o preço recuou,
mas como não descemos abaixo de 1.1290, ou mesmo de 1.1280, ainda é cedo para falar sobre a tendência de queda.
Attachment 3714
Além disso, devemos considerar a situação de acordo com os relatórios COT sobre as posições líquidas de grandes especuladores.
Assim, apesar do ligeiro crescimento do par, a posição de alavancagem líquida praticamente não mudou.
A única coisa é que os concessionários reduziram ligeiramente.
E, como não se envolvem em especulações, mas apenas asseguram seus negócios, uma redução nas posições líquidas pode indicar um possível aumento.
Mas o fato de que as alavancagens são direcionadas globalmente para o lado positivo ao longo do ano, pode quebrar a tendência ascendente do par a qualquer momento.
Attachment 3715
Assim, não devemos contar com o crescimento global, mas, por enquanto, não há razão para entrar em ofertas de venda.
O primeiro sinal será o enfraquecimento dos touros.
Ou seja, quando eles começam a perder terreno e não serão capazes de manter seus níveis:
- o primeiro nível é 1.1290-1.1280;
- o segundo nível é 1.1250-1.1240.
Nesse caso, será possível falar sobre vendas.
Enquanto estamos em equilíbrio, nos moveremos das bordas inferiores para as superiores.
Se olharmos para o gráfico, pode-se destacar um nível interessante, a área do vendedor de 1,1340-1,1390.
Os ursos serão agressivos aqui.
Aqui é o lugar onde pode haver um recuo na direção de cerca de 1.1250.
Portanto, quando o preço chega aqui, precisamos ter muito cuidado com as ordens de compra.
Attachment 3716
Quanto ao nível de 1.1290, é bem possível que eles consigam chegar aqui e recuar.
Mas o cenário mais provável implica um ligeiro recuo e mais movimento ascendente.
Então, eu não me arriscaria com vendas, este é o momento de abrir ofertas de compra.
Apesar de tudo isso, o par pode fazer o contrário.
Para mim, esta é um rompimento da tendência de alta por alguns dias.
Esta opção é possível após a consolidação do preço abaixo de 1.1280-90. Então podemos tentar vender no mesmo dia com alvo curtas.
Além disso, espero um recuo na área de 1.1240-50 em H4.
Se atingirmos o nível de cerca de 1,1380, podemos cair de lá.
Embora não seja um fato. Levando em conta o comportamento do par, tais retrações são improváveis.
Veremos.
Attachment 3717
De acordo com as posições dos comerciantes da comunidade do livro, fica claro por que não há razão para mudar a direção.
A maioria está vendendo, mas os compradores estão em uma queda maior.
Assim, um movimento ascendente só pode exacerbar essa situação.
Em princípio, é exatamente assim que o mercado vai. Portanto, espero crescimento.
3 Attachment(s)
EUR/USD - Visão de mercado
Olá traders,
Falando sobre o par EUR / USD, a tendência de alta continua com força. Há sinais da tendência de queda, mas isso é apenas um recuo. Ainda não está claro se irá mudar. Para mudá-lo, é necessário fazer os zigue-zagues necessários. Então, vamos descobrir o que precisamos para a reversão e onde devemos estar prontos para uma captura. Para confirmar a tendência de queda, precisamos chegar ao nível de 1,1280. E, então, precisamos fazer uma retração do nível de 1.1280 para 1.1310. Em 1.1310, devemos estar prontos para a primeira captura, porque a este nível, o destino da tendência de alta será decidido. Quando há um recuo de 1,1280 para o nível de 1,1310, podemos ultrapassá-lo e subir para 1,1320. Neste caso, os ursos se transformarão nos touros e começarão a ir para 1,1340 e 1,1350. De acordo com a análise técnica, os níveis 1.1340 e 1.1350 são intermediários, o que significa que eles não têm muita força. O principal alvo para a tendência de alta será 1,1440. É claro que não iremos até o fim de um dia, mas durante a semana. E se 1.1310 resiste e volta para baixo, este será o primeiro sinal de que os ursos tomam a iniciativa. Tudo é mostrado em detalhes no gráfico.
Attachment 3727
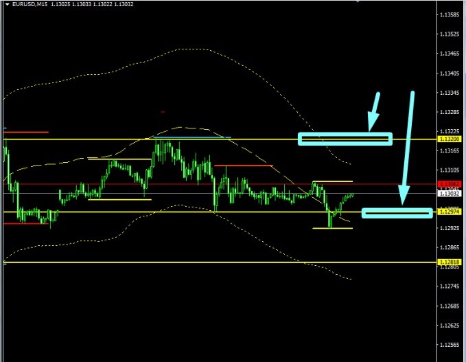
Níveis intradiários.
Hoje, quanto aos níveis de estreitamento, o topo é 1.1320, enquanto o inferior é 1.1297.
Ontem escrevi sobre isso, mas devo lembrar o que significam os estreitos e o que devemos esperar dele. Quando temos um estreitamento de acordo com a análise técnica, significa que hoje pode haver extensões que não são uma opção muito confortável, porque podem ser trabalhadas de duas maneiras diferentes. A primeira é a extensão, o que significa que vamos romper os níveis superior e inferior e não iremos a lugar nenhum. E a segunda opção sugere que a quebra de um desses níveis dará um bom movimento direcional. Isso é o que eu não gosto. O estreitamento e o mal, você pode se preparar para um movimento descendente, mas mudará a direção e subiremos. Mas espero que M15 nos dê uma dica.
Attachment 3728
Negociação intradiaria
Hoje tudo é como ontem. Se os ursos não aproveitarem a situação, os touros tomarão a iniciativa.
Por enquanto, o alvo é 1.1280. O cancelamento da tendência de queda é de 1,1320 e 1,1310. A confirmação da tendência de queda é a quebra de 1,1297.
Não nos esquecemos de que hoje há uma opção para fazer um zigue-zague em ambas as direções, romper 1.1320 e 1.1297. Neste caso, haverá extensões e uma melhor chance de fazer um rompimento de ambos os níveis.
Attachment 3729