3 Attachment(s)
EUR/USD - Visão de mercado
Boa tarde pessoal,
A queda de ontem surpreendeu muitos traders.
O declínio abaixo de 1.1190 ocorreu como um forte momento de baixa.
Este momento também foi confirmado por grandes volumes.
A redução de preço foi realizada com a quebra do nível 1,1175 onde havia o valor mínimo para o ano corrente.
No momento, o preço está sendo negociado dentro do canal descendente.
O limite inferior do canal está no nível de 1.1090, portanto, o preço provavelmente diminuirá para esse valor.
A partir do limite inferior do canal, podemos abrir um acordo de compra e o nível principal para obter lucro será na parte de trás do canal.
Attachment 3812
De acordo com o histograma de volumes, o volume de negociação foi adicionado em meio à queda de preço de ontem.
Após o rompimento de 1.1190, volume significativo de negociação suportado por um delta negativo foi adicionado.
Pode-se supor que o delta negativo não é apenas as vendas no mercado, mas também a execução das ordens stop loss dos compradores.
De acordo com o perfil de mercado, houve um volume máximo na faixa de 1,1220, acima do qual o preço não subiu ontem e isso só confirmou a presença de vendas significativas.
Em vista do fato de que muitas vendas no mercado foram adicionadas em meio à quebra de ontem de 1.1190, este nível atuará como resistência.
Um teste bem-sucedido desse nível será a principal condição para a abertura de uma ordem de venda.
Attachment 3813
De acordo com os níveis horizontais, pode-se dizer que a falsa fuga anterior de 1.1190 não foi confirmada. O teste desta fuga mostrou que os compradores ainda não são muito fortes para iniciar uma reversão.
No momento, considero uma redução para 1,1150 como a melhor opção.
Para criar um sinal de compra, precisamos esperar por um teste de 1,1150, talvez até com a formação de um falso rompimento.
Neste caso, o nível de resistência mais próximo será 1.1190, portanto, podemos colocar uma ordem de lucro para uma compra aqui.
Se o preço conseguir ultrapassar o nível de 1,1190 e consolidar acima desse intervalo, isso também será uma condição para a abertura de compras.
O nível mais próximo para uma ordem de lucro será de 1,1225.
A quebra e a consolidação de preços abaixo de 1,1120 serão um sinal para cancelar as compras e continuar vendendo.
Attachment 3814
2 Attachment(s)
EUR/USD - Análise de mercado atualizada
Olá a todos!
Francamente falando, eu pouco sei sobre zonas obrigatórias, mas eu sei algo sobre perfis de volume. Deixe-me compartilhar algumas ideias sobre esse ponto com você. O euro está no meu foco hoje.
O volume de negociação diário do euro começou a aumentar. Aumentou em 200K desde quinta-feira. Tais movimentos constantes foram vistos pela última vez há meio ano. Isso me faz pensar que estamos entrando na fase do momentum. Importante, o momento pode ser visto em ambos os gráficos 1H e 4H. No entanto, há discórdia entre a moeda e os mercados de ações. Como regra geral, o dólar americano enfraquece quando os estoques sobem e vice-versa. Mas agora os estoques e o dólar estão se fortalecendo. Espero que tudo volte ao normal em breve. Quanto ao euro, há apenas duas semanas, pensei que estava condenado, mas agora vejo uma volatilidade crescente e todos os sintomas de momentum. Na verdade, o preço está próximo da zona de reversão potencial, mas precisa ser formado inicialmente. Eu plotei os níveis dos maiores volumes de vendas no gráfico diário abaixo.
Attachment 3818
1352-1372 (1302-1322 no Forex) - aqui o preço ficou preso durante toda a semana enquanto o delta mostrava volumes de venda crescentes
1294-1308 (1244-1258 no Forex) - o preço caiu para este nível e formou a base do contrato de junho
1256-1272 (1206-1222 no Forex) - a estes níveis, os volumes de vendas também aumentaram
Obviamente, o momento foi formado. O sinal claro disso são balanços acentuados seguidos de consolidação de bandeiras e, em seguida, um forte movimento de novo.
Attachment 3819
Como visto no gráfico semanal, todos os contratos são vendidos. Os contratos curtos da última semana em 1350-1370 (1300-1320 no Forex) estão testando a zona em que o volume de vendas aumentou anteriormente (1390-1405 e 1340-1355 no Forex). Por sua vez, o preço caiu para esses níveis após a venda de ofertas foram abertas quando o contrato foi colocado em 1425-1445 (1375-1395 no Forex). No geral, o cenário de baixa permanece válido. Prefiro não abrir ofertas de compra.
3 Attachment(s)
EUR/USD - Análise de mercado
Bom dia colegas,
O euro teve uma movimentação radical para o lado negativo ontem, e algumas grandes encomendas de stop loss foram desarmadas.
Como você vê, muitos traders estão abrindo posições longas desde segunda-feira. Terça-feira trouxe ainda mais ordens de compra, e ontem foi apenas um Dia de Julgamento para os touros. Muitos deles foram levados em 1.1180, alguns conseguiram aguentar um pouco mais.
No entanto, ontem mostrou que os compradores estavam prontos para lutar.
Eu já comecei a comprar este par, mesmo que não haja sinal claro de tendência de alta.
Provavelmente, o preço cairá para 1,1110 até o final da semana. Eu pretendo colocar algumas grandes ofertas de compra lá.
Há um interesse em futuros que não podemos ver no gráfico de preços.
O preço está atualmente se aproximando do limite inferior do saldo do contrato anterior.
Attachment 3820
Naquela época, era um lugar de clímax e um volume de negócios significativo. Depois disso, o preço subiu.
Então, estamos a apenas alguns pips desse alvo. Além disso, as coisas podem ficar mais interessantes se o par cair ainda mais baixo.
Neste caso, vamos testemunhar um grande movimento.
De qualquer forma, isso não tem que acontecer, embora seja lógico. Eu não vejo outro motivo para empurrar o par tão baixo.
Portanto, tenha cuidado com posições longas, pois o preço ainda pode diminuir em mais 50 pips.
Curiosamente, já temos alguns níveis para voltar a subir, enquanto o preço é tão baixo.
Acredito que o par deve atingir 1.1240 e 1.1390 após a reversão da tendência.
Vai ser um bom passeio, pessoal.
Attachment 3821
Considero 1.0840 o nível mais baixo em que o par pode cair caso esteja fora do saldo atual.
No entanto, tem sido negociado no mesmo intervalo por muitos meses agora, portanto, olhar para um alvo tão remoto não é racional.
Além disso, é provável que o par seja vinculado a partir de 1.1110. Eu já mencionei isso.
Se olharmos para a comunidade do livro, podemos ver que os compradores já acumularam 63 mil lotes.
Não é uma piada.
Attachment 3822
Enquanto isso, os vendedores foram para uma zona de lucro. Embora sejam menores e os lucros menores, ainda estamos no nível em que seria sensato fechar posições curtas e começar a pensar em posições longas.
Ainda não há sinais significativos, mas podem ocorrer hoje.
Seja paciente.
Os lucros está chegando!
3 Attachment(s)
EUR/USD - Visão de mercado
Olá pessoal,
O movimento descendente continua em vigor. Precisamos pegar uma reversão para baixo. Então vamos descobrir como fazer isso. Eu vou te dizer em que condições haverá a tendência de alta, de acordo com a análise técnica. Primeiro, precisamos transformar o M15 no dia para poder recuar. Existe um indicador branco no gráfico, este é o primeiro passo. Inicialmente, o M15 deve atualizar a alta de ontem de 1,1154. Mas isso ainda não é uma reversão, apenas um recuo. O recuo deve ser de pleno direito, com o desenvolvimento para o lado positivo. Eu destaquei tudo com setas no gráfico. Depois de fazermos um recuo completo para o lado positivo, devemos atingir o nível de 1,1160. No H1, o nível de 1,1160 confirmará a tendência de alta, mas isso não significa uma reversão, porque após a confirmação, devemos recuar para 1,1120 e 1,1130. O recuo descendente nos mostrará o poder de touros e ursos. Se os níveis de 1.1120 e 1.1130 resistirem e nos derem um salto, voltaremos para cima. Nesse caso, a reversão pode ser considerada concluída. Até que façamos tudo o que descrevi, a tendência de alta estará em questão. Então vamos adaptar a situação. Se as condições forem criadas, começaremos a nos preparar para lutar.
Attachment 3828
Quanto aos níveis intradiários que indicam direções,
o topo é 1.1159,
o fundo é 1,1188.
Hoje, o intervalo é pequeno, entre os níveis. Isso é bom para nós, já que seremos capazes de nos adaptar rapidamente a ambas as direções durante o dia. Ursos, note que devemos ficar longe do nível de 1.1159, enquanto os touros têm que evitar o nível de 1.1118. Em geral, a situação com os níveis é clara, vamos ver a direção para hoje.
Attachment 3829
Níveis intradiários. Hoje, a tendência de alta é limitada. Do nível de 1.1160, espero outro movimento descendente. O caminho para o lado negativo está aberto. Até agora, estamos abaixo do nível de 1,1159. Bem, como de costume, espero uma reversão, mas não me esqueço de fazer lucro nas vendas.
Attachment 3830
4 Attachment(s)
EUR/USD - Análise de mercado atualizada
Olá pessoal,
Todos os traders têm suas próprias opiniões e seu próprio estilo de negociação, então tomam suas próprias decisões sobre a colocação de novos negócios ou a fixação de lucro.
Quanto a mim, vejo uma tendência ascendente próxima.
Claro, as coisas não parecem tão bonitas quanto eu gostaria, mas há primeiros sinais.
Attachment 3831
Então, minha temporada de vendas está prestes a acabar.
A previsão de ontem funcionou de maneira excelente. Embora eu achasse que o preço tocaria 1,1110, diminuiu a 5 pips desse nível.
No entanto, não é tão importante. Eu posso fechar meus negócios manualmente.
O que eu mais gosto?
Em primeiro lugar, há um bom volume de negócios. É o fato mais importante. O mercado recebeu fundos significativos que podem movimentar o preço.
Em segundo lugar, o par atingiu agradavelmente a zona de suporte de 1.1120-1.1110. nós tínhamos bons volumes aqui (cerca de 25K por hora) com um delta positivo, e sinais de crescimento ocorreram. Para mim, é um motivo para parar de vender. Além disso, podemos tentar comprar no teste.
Em terceiro lugar, o par mostrou uma reação para comprar e voltou ao teste. A zona 1.1130-1.1120 acabou por ser um terreno perfeito para testar os volumes acumulados.
Attachment 3832
Obviamente, ainda é cedo para falar sobre algo grande. No entanto, vejo um sinal claro de reversão de tendência.
As posições dos traders não mudaram muito, apenas ontem os compradores adicionaram mais volumes quando o preço renovou a baixa mais uma vez.
Eu acho que foi um clímax que eu estava esperando.
Portanto, agora devemos nos mover para cima. E não é só sobre o euro.
No meu sistema, muitos pares são encabeçados (GBP / USD, AUD / USD, NZD / USD), enquanto USD / JPY e USD / CAD estão indo para baixo.
Attachment 3833
Um traders escreveu que esperava que o preço continuasse caindo porque renovou a baixa histórica ontem. Eu não concordo.
Olhando para trás, em 12-13 de novembro, o preço também renovou a baixa histórica e depois subiu para 300 pips.
Se você abrir ofertas de venda em tal situação (e adicionar quando o preço recuar), você pode perder todo o seu depósito.
Já foi discutido muitas vezes: quando o preço renova uma baixa anual, as pessoas acreditam que ele vai fechar a lacuna em 1,07.
E então? Fechou isso?
Essa lacuna foi lembrada pelo menos 3 vezes nos últimos 6 meses.
De qualquer forma, se você quiser continuar vendendo - é seu direito. Eu vou comprar um pouco. Eu vejo níveis no lado positivo para o qual o preço tem que voltar.
Estes são meus pensamentos, por enquanto, o mercado mostrará quem está certo e quem está errado.
Attachment 3834
Eu desejo que todos lucrem!
2 Attachment(s)
EUR/USD - Visão de mercado
Este é o último dia de negociação da semana. Existem duas opções, como sempre. A primeira opção é uma correção, enquanto a segunda é o teste dos fundos.
Libra.
Segundo a TST, o nível de hoje é quase o mesmo de ontem, a diferença é de apenas alguns pontos. Mas a zona obrigatória de 2912-38 apareceu e o limite superior do dia em 2917 foi reforçada. Este é um limite de crescimento para hoje.
Nós não estamos falando sobre o fundo ainda, o principal é obter o saldo do dia em 2848.
Attachment 3835
De acordo com meus cálculos, o topo do dia é 2929, enquanto o fundo é 2860. Finalmente, entramos na área de acúmulo. Aparentemente, não há força suficiente para continuar o declínio. Portanto, 2895 agora servirá como suporte e poderemos estar em um flat até 2931. Um rompimento acima significará que os touros estão em vantagem e uma correção começará. Antes disso, os ursos prevaleceram.
Attachment 3836
Ontem, as opções foram negociadas precariamente e os traders começaram a fechar as opções de venda. Esta é uma das razões pelas quais os touros tomaram um novo ânimo e os níveis mais interessantes são 2855 abaixo e 2931 acima.
Euro calmo após eleições na Espanha, comentários de Trum afeta petromoedas
O euro estava em US$ 1,1157 na parte da manhã por volta das 08:00, não houve nenhum impacto significativo após o resultado das eleições na Espanha vencidas pelo partido de centro-esquerda PSOE, a moeda estava apenas um pouco acima da mínima de dois anos que atingia na semana passada. a moeda europeia está sendo beneficiada pelo lucro do petróleo bruto após os comentários de Trump em seu Twitter. Ele disse que "falou com a Arábia Saudita e outros sobre o aumento do fluxo de petróleo". Os preços mais baixos do petróleo geralmente beneficiam a zona do euro, um importador de petróleo. No entanto, as petromoedas como o rublo russo sofrem. Está abaixo de 1,5% da alta da semana passada.
O índice dólar que mede a força da moeda em relação à uma cesta das seis principais divisas foi de 97,708, cerca de 0,3% abaixo da alta de 2019 que alcançou na quinta-feira, O euro pode reagir após dados monetários da zona do euro. No momento da escrita o euro era cotado a 4,38 em relação ao real.
3 Attachment(s)
EUR/USD - Visão de mercado
Olá pessoal,
A revisão em EUR / USD para hoje. O movimento principal é para baixo, mas não estou procurando maneiras fáceis de sair. Eu pretendo chegar a uma reversão para cima. Vamos descobrir o que temos para uma reversão. Há confirmação da tendência de alta com a quebra de 1,1160. Resta alguns zigue-zagues. Ou seja, após o rompimento de 1.1160, precisamos descer para 1.1130-20. Claro, podemos subir sem zigue-zague, mas eu não gosto dessa opção. De acordo com a análise técnica, espera-se que o M15 desça novamente. Em geral, acho que vamos descer e subir, como mostra o gráfico. Tais ações devem nos virar para o lado positivo. Mas existem algumas nuances. Ao recuar para os níveis de 1.1130 e 1.1120, há uma chance de que os ursos possam tomar a iniciativa e continuar o movimento descendente. Então, precisamos seguir de próximo o nível de 1,1120, os ursos podem cair na zona de perigo para 1,1090. Tais ações extras atrasam o processo de reversão.
Attachment 3839
Hoje, a situação com os níveis é bastante interessante. Quando há uma formação de expansão, eu normalmente espero por uma formação de estreitamento. Com uma reversão, expansões e estreitos aparecem com muita frequência. Então, nós temos uma expansão, resta esperar por um estreitamento. Como pode ser visto no gráfico, os níveis que indicam o caminho são os seguintes: o topo é 1.1173, enquanto o inferior é 1.1118. Este é o nosso alcance para hoje. O preço não deve sair daqui. Se o preço não ultrapassar o intervalo, poderemos assumir que o estreitamento ocorreu. E amanhã, vamos procurar uma saída para o estreitamento.
Attachment 3840
Negociação intradiário.
Hoje, pretendo mudar para 1,1130 e 1,1120 no mesmo dia. Os planos não são ambiciosos. M15 ainda indica o movimento descendente. A tendência de baixa será cancelada quando o preço ultrapassar 1.1173.
Então, desejo a todos negociações de sucesso.
Attachment 3841
3 Attachment(s)
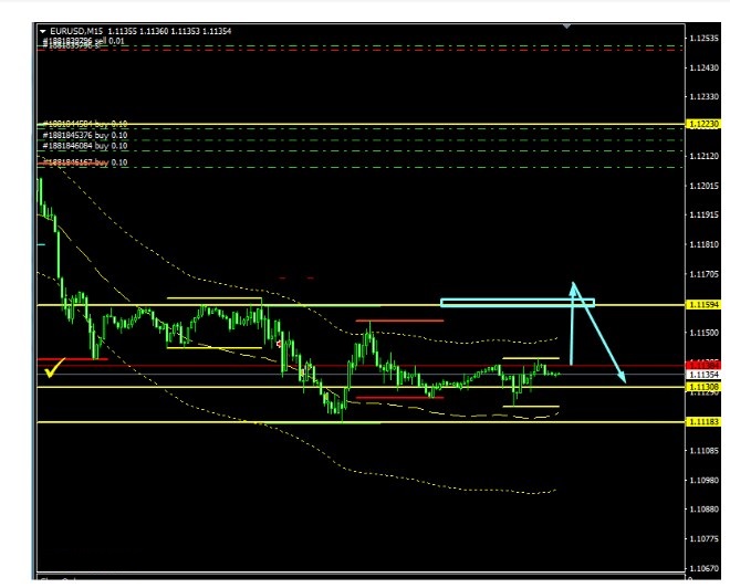
EUR/USD - Visão de mercado
Olá caros traders,
A semana começa com o recuo do preço e isso é bom para os compradores. O intervalo de 1.1140 está sendo mantido e é encorajador.
A maioria dos traders tem compras, e cada novo tick é a esperança de que finalmente sairemos da difícil situação.
Um falso rompimento é bom, mas o principal é que hoje o preço não chega a ser menor do que esse rompimento.
Na sexta-feira, as opções foram negociadas em um poderoso nível. Eles alcançaram o nível e pegaram o prêmio.
Se a marca de 1.1106 estiver quebrada, espero uma queda séria. Neste caso, uma queda para o 10º valor é bem possível.
De acordo com a faixa de negociação, verifica-se que o nível de suporte ideal está em 1.1200, e o nível de resistência na forma de opções de chamada está na faixa de 1.1250.
Na verdade, o preço está agora próximo do ponto crítico para um declínio, portanto, o crescimento será mais promissor.
Embora o intervalo esperado não seja muito grande (apenas 50 pontos), mas isso deve ser suficiente para fazer a primeira tentativa de reversão.
Attachment 3842
Interesse aberto.
Até agora, há uma margem tanto em uma como na outra direção.
Se levarmos em conta o nível da chamada principal, é na greve de 1,1350, onde haverá um limite para o crescimento até o final da semana.
Vale ressaltar que o nível de Max Pain está na faixa de 1.1300, ou seja, será o principal alvo para a expiração.
Os compradores de opções de compra estão sofrendo perdas agora, já que mais de 97% das opções de compra estão atualmente sem dinheiro, mas os compradores de opções de venda se sentem mais confiantes.
Na sexta-feira, houve mudanças bastante significativas no interesse aberto.
No preço de 1.1300, 1.447 novos contratos de chamadas foram adicionados.
Quanto às opções de venda, um número menor foi adicionado, mas dado o fato de que o aumento máximo ocorreu na 12ª. Greve, essa faixa é o principal suporte.
O principal sinal de tal atividade é que tudo acima de 1.1300 está sendo segurado ativamente com opções de compra (seguro de vendas), e tudo abaixo de 1.1200 está sendo segurado ativamente com opções de venda (seguro de compras).
Attachment 3843
Ideia de negociação para hoje:
Como o euro está muito próximo da zona de reversão, é mais lógico comprar do que vender hoje.
Todas as ações necessárias foram tomadas, por isso, hoje, podemos esperar pela implementação.
Se houver uma queda significativa para o nível de 1,1106, as melhores condições para vendas serão criadas.
No momento, tenho 5 compras com o alvo principal na faixa de 1.1240.
Se necessário, será possível fechá-los no intervalo de 1,1210.
Attachment 3844
Bem, o euro está na fase de uma reversão, e depois de alguns dias, os feriados estão chegando, então surpresas são esperadas.