3 Attachment(s)
EUR / USD - Visão de Mercado
Olá pessoal,
Segundo o calendário econômico, não é um dia de negociação comum.
Os dados sobre as folhas de pagamento não agrícolas serão publicados hoje.
Espero que, após o lançamento dos dados, a situação seja esclarecida um pouco.
Primeiro de tudo, precisávamos de uma quebra de 1,1260 para o crescimento contínuo. Foi feito com sucesso, mas ainda não é possível manter acima deste nível.
Se deixarmos de manter o preço acima de 1.1260 novamente, consideraremos que a entrada além dessas fronteiras foi feita para aumentar a liquidez.
Quanto às opções, a faixa de negociação para hoje é de 150 pontos.
Hoje, a faixa superior na forma de um nível de chamada importante está na greve de 1,1350.
Este será o primeiro obstáculo ao crescimento.
O prêmio de risco é de apenas 6 pontos, então a margem ótima para o movimento ascendente do preço em relação aos níveis atuais é de pouco mais de 80 pontos.
O limite inferior está na greve de 1.1200, que é 1.1195 a preços forex.
Considerando o prêmio de risco, obtemos um intervalo crítico de 1,1186.
A faixa de negociação principal é de 150 pontos, mas dada a margem para o prêmio de risco, há cerca de 170 pontos para trabalhar em ambas as direções.
Attachment 4170
O ponto importante é que, quanto aos níveis das opções, o nível de Max Pain foi atingido. Está em 1,1275.
Atingir o nível indica que os vendedores de opções têm o lucro máximo nessa faixa de negociação.
Agora, podemos permitir a livre flutuação da taxa e aguardar a próxima expiração.
Attachment 4173
Tanto ontem como no dia anterior, após a alta dos preços, um volume bastante grande foi adicionado, mas em vez de continuar a crescer, o preço parou seu movimento ascendente.
Assim, podemos concluir que o volume foi adicionado para ofertas de venda.
A reação do preço após o acréscimo de volume indica claramente que ainda é mais fácil que o preço caia do que subir acima do 13º valor.
Não esqueça que temos um bom suporte na faixa de 1.1160.
No momento, esta é a principal plataforma de compradores e é improvável que o preço caia abaixo dela.
Attachment 4172
Plano de negociação:
No momento, o preço não tem condições favoráveis para entrar.
Primeiro, restam cerca de 80 pontos para chegar ao intervalo mais próximo para abrir um acordo.
Em segundo lugar, mesmo que tentemos abrir uma transação agora, ela pode ser removida ou encerrada com prejuízo devido aos dados das folhas de pagamento do setor privado. Portanto, devemos abrir ofertas após o lançamento dos dados.
3 Attachment(s)
EUR / USD - o euro está de volta aos trilhos
Bom dia, colegas traders!
Então, o euro está de volta aos trilhos. De fato. Ele se move 100-120 pips por dia (se olharmos para altos e baixos). Embora, não seja tão volátil quanto o petróleo e o ouro. De qualquer forma, houve um movimento significativo quando o contrato trimestral opcional fechou e antes de fechar um contrato trimestral de futuros. Além disso, as estatísticas dos EUA também impactaram o par. Os dados da folha de pagamento não agrícola estão vencidos hoje. Então, vamos analisar a cotação e lembre-se de que a atual liquidez é acionada pelo fechamento de negócios no contrato atual.
Eu quero olhar para três gráficos: fracos, diários e horários.
PERÍODO GRÁFICO SEMANAL
Attachment 4174
O par bateu o nível de suporte em 1150-1185 (1140-1175 no Forex) ontem. No entanto, ele não consegue se mover acima de 1250-1275 (1240-1265 no Forex). Aqui está o núcleo fraco. O delta fracamente está acima de -22K. A resistência está em 1330-1370 (1320-1360 no Forex). Basicamente, é isso. O par está se movendo bem, mas dentro de um certo alcance. Notavelmente, o número de contratos será superior a 1 milhão nesta semana, talvez chegue a 1,2 milhão. Vai ser interessante.
QUADRO DE TEMPO DIÁRIO
Attachment 4175
Já passou algum tempo desde que abri o prazo diário para o euro, neste PC - há mais de duas semanas.
Portanto, o primeiro núcleo do contrato atual está em 1292-1314 (1286-1308 no Forex).
O segundo núcleo está em 1262-1268 (1256-1262 no Forex). Costumava ser uma resistência e tornou-se apoio.
Esta semana, o suporte está em 1234-1244 (1228-1238 no Forex).
Na quarta e quinta-feira, o núcleo estava em 1274-1282 (1268-1276 no Forex). Houve um volume de negócios máximo de 273K deste contrato ontem.
Obviamente, o movimento é volátil. As folhas de pagamento do saetor privado podem empurrar o preço para subir alto e depois cair novamente.
PERÍODO GRÁFICO HORÁRIO
Attachment 4176
As coisas são muito interessantes aqui. Houve o volume de negócios máximo de 51K e 72K do contrato anteontem e ontem, respetivamente. 72K também é um registro de 2019. Ambos os núcleos estão localizados perto de 1294-1312 (1288-1306 no Forex). Ambas as vezes foi devido à colocação de posições curtas. É MUITO IMPORTANTE. O suporte mais baixo é 1244-1251 (1238-1245 no Forex).
Assim, o intervalo de 1294-1312 (1288-1306 no Forex) é interessante para posições curtas.
6 Attachment(s)
Breve análise técnica do EUR / USD
Prezados, Boa tarde.
O instrumento rompeu a área de resistência das marcas de preço 1.1245-1.1264, tecnicamente, o preço é fixado acima desta área, testando a zona de resistência mais potente de 1.1305-1.1324 ...
As opções tecnicamente possíveis para o movimento de preços em relação às áreas de suporte, resistência e os números da correção ascendente e a tendência descendente de longo prazo:
O rompimento da área de resistência 1,1305-1,1324 e a consolidação de preços acima dessas marcas. Um movimento correcional dos preços mais profundos na área da alta local em 1.1449 é possível.
Attachment 4177
Recuperação técnica da área de resistência, o retorno de preço abaixo do suporte dos 1.1265-1.1245 marcas de preço. A continuação do declínio dos preços aos mínimos locais na área de 1.1107 também é possível.
Attachment 4178
Falso rompimento de resistência com a adição de liquidez, para diminuir ainda mais a baixa local.
Attachment 4179
Resistência: 1.1305-1.1324
Suporte: 1.1265-1.1245 .... 1.1205-1.1194 .... 1.1149-1.1135
Attachment 4180Attachment 4180
O preço está na área de incerteza entre as tendências ascendentes e descendentes, dentro do triângulo técnico formado pelos números de tendência.
Consolidação do preço na área de apoio e resistência.
Attachment 4181
Em geral, estamos negociando com bastante confiança durante o dia. Os traders estão satisfeitos com a volatilidade, que torna os movimentos de preços mais amplos.
O mais importante é impedir que o preço fique estagnado.
Quanto ao histórico de notícias de hoje, o mercado espera a liberação da taxa de desemprego, que deve permanecer inalterada.
O tema é muito importante para a moeda nacional, portanto, espera-se maior volatilidade.
Quanto aos altos níveis de preços locais atuais abaixo da forte resistência, uma convergência oculta é formada com base nos altos volumes de negociação atuais, o que implica o desenvolvimento de uma correção, ou uma reversão de preços ao longo da tendência em direção à mínima local.
Attachment 4182
1 Attachment(s)
Sinais para o par EUR/USD
Attachment 4183
EUR USD 1,1334 USD (+0,52%) Horário 16:50
Abertura: 1,1276
Variação: +0,0057
Volume: 99.406
Baixa: 1,1251
Alta: 1,1348
Alta - Baixa: 0,0097
Fechamento: 1.1333
3 Attachment(s)
EUR / USD - Análise de mercado
Olá a todos,
Na sexta-feira, o sistema confirmou uma reversão para cima.
A primeira etapa da reversão foi confirmada pela quebra do nível 1,1340. O segundo estágio foi um zigue-zague descendente, isto é, um recuo descendente. Vamos considerar quando, de acordo com a análise técnica, o primeiro recuo em H1 será confirmado. Até agora, H1 é direcionado para o lado positivo. Ainda não há sinal para vendas. Claro, podemos vender a partir do forte nível de 1,1340 como um rebote do nível. Mas vou passar, já que hoje é segunda-feira. Mas, mais próximo da sessão americana, será possível pensar sobre o que fazer no dia e se é hora de recuar. Enquanto isso, para não apressar as coisas e não estragar as coisas, posso dizer que H1 ainda não está pronto para a tendência de baixa. Isso significa que é cedo demais para vender. Além disso, é provável que um recuo seja feito em 1.1240 e 1.1220. Podemos criar uma faixa plana de 1.1220 e 1.1340, e então fazer zigue-zagues até sexta-feira, o que é um aviso de que a tendência de alta continua em vigor e o recuo é removido por um plano. Portanto, os ursos não devem ter pressa com ordens de venda. Considero vendas apenas no mesmo dia e com ordens de lucro curtos. Agora é melhor seguir os níveis intradiários.
Attachment 4186
Níveis intradiários para hoje.
O topo é 1.1346, o fundo é 1.1251. De acordo com os níveis intradiários, a tendência de baixa permanece relevante até atingirmos uma baixa profunda. Não me refiro ao nível de 1.1270 que podemos alcançar facilmente.
Attachment 4187
Negociação intradiaria.
Após negociação na sexta-feira, M15 começou a recuar. No entanto, antes de descer, ele precisa se mover para 1,1320 e 1,1340, e depois para baixo, mas o fundo não está longe de 1,1270. Então, acho que provavelmente faremos zigue-zagues aqui.
Attachment 4188
3 Attachment(s)
EUR / USD - Análise de condições de negociação para a nova semana
Olá traders,
Antes de considerar as condições de negociação para a nova semana, vamos lembrar a situação na sexta-feira, merece nossa atenção.
A principal condição para o crescimento foi a consolidação do preço acima do 13º digito.
Tudo foi feito como esperado. Conseguimos romper a alta e consolidada acima.
Então, o terreno para mais crescimento foi preparado.
Agora é importante não estragar as coisas.
Vamos considerar o que espero para hoje e amanhã.
Primeiro, não fizemos um recuo para a área de cerca de 1.1260, o que pode ser um bom motivo para abrir outras compras.
Em segundo lugar, estamos perto do alvo descendente, após o qual podemos recuar profundamente.
O alvo é 1.1390-1.1400, e o alvo da retração é de 1.1190 a 1.1150. Aqui podemos consertar vendas.
E é lógico abrir vendas perto do 14º lugar, perto da nova alta de 1,1450.
Traders podem cair imediatamente para 80 a 90 pontos, ou puxar os preços para a direção oposta, e então bloquear tudo como fizeram na última vez.
Então, precisamos considerar esses pontos.
De fato, obtemos a seguinte imagem: Espero um retorno ao intervalo do qual o declínio do contrato de junho começou.
Attachment 4190
De acordo com os volumes, pode-se notar que o interesse no par aumentou.
O giro dobrou e o movimento ficou mais ativo, mais de 50 pontos por dia.
Na semana passada, houve muitas vendas no mercado.
Isso pode ser visto nos indicadores delta.
Nestas circunstâncias, o preço continuou a subir. Bem, é lógico que os traders inteligentes apoiaram suas posições por ordens de limite e compraram tudo.
Mas isso não nos dá detalhes.
Para definir marcos mais ou menos corretos, devemos destacar as áreas de acumulação de volume.
Eles agem como rebotes.
Quanto ao euro, este é o POC da semana na área de cerca de 1.1260. Este é o primeiro apoio importante.
Se o quebrarmos, este será o primeiro sinal indicando que a tendência de alta foi concluída.
Mas devemos chegar ao alvo e só então mudar.
Além disso, não há mais nada para alcançá-lo.
Após a quebra de 1.1260, o nível de 1.1190 atuará como outro nível de recuperação.
É aí que tem havido os maiores volumes com o delta máximo negativo.
No entanto, apesar dos volumes, teste, ausência de dívida, espero uma reação em meio ao retorno.
Attachment 4191
A partir do nível de 1.1430, vou considerar vendas.
Mas é muito cedo para discutir isso em detalhes. As condições são formadas durante o dia e é difícil prever o que acontecerá às 14h30.
Quanto aos negócios dos traders, as vendas agora prevalecem no mercado.
O rácio de 80/20 indica que a tendência ascendente ainda está em vigor.
Então, vamos esperar pelas condições e depois comprar.
Além disso, acredito que é cedo demais para vender.
Attachment 4192
Quanto ao histórico de notícias para o par euro-dólar, nada significativo está adiante.
Hoje, maior atenção será dada à libra. Algumas notícias substanciais serão divulgadas hoje, então o preço pode atingir novos níveis.
3 Attachment(s)
EUR/USD - Visão de mercado
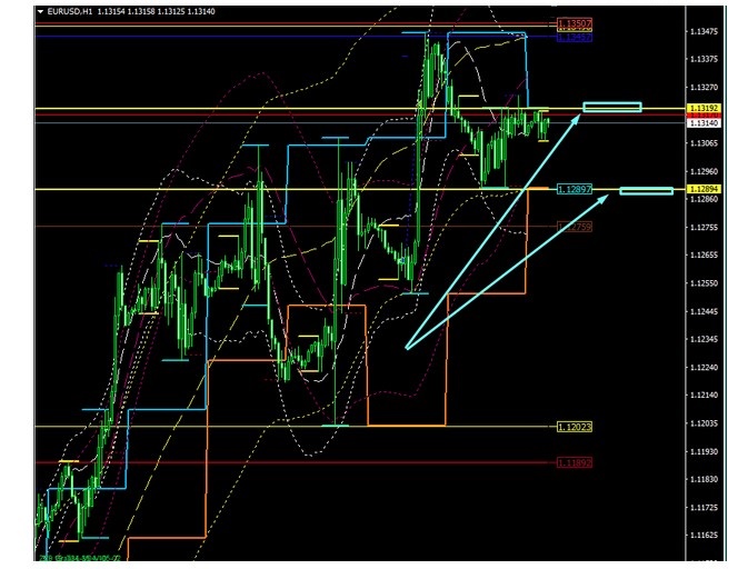
Agora vamos examinar o EUR / USD em detalhes. Primeiro, deixe-me lembrá-lo sobre a tendência geral, é para cima. Claro, pode ser ainda descendente, porque todos nós temos sistemas diferentes. E como tenho uma tendência ascendente, estou esperando por um recuo de norte a sul. Quais são as minhas expectativas, muito simples, espero um movimento ascendente para o nível de 1,1350, e talvez para 1,1380-90. Eu prefiro o nível de 1.1380, já que ele está se recuperando, e o nível mais baixo de 1.1190 subiria mais alto em meio à pressão do lado positivo. Mas o alvo principal ainda é 1,1350, onde a probabilidade de um rebote é maior. Quando o preço atinge 1,1350, um sinal descendente será criado. Eu acho que o preço vai do lado positivo para o nível de 1.1289 hoje. Ontem, houve reduções, e depois destas reduções, muitas vezes obtemos extensões. Essa formação geralmente acontece antes das reversões. Então, espero que as coisas saiam do jeito que eu descrevi. Até agora, não vejo outra opção, apenas um movimento para 1,1350, ou talvez para 1,1289.
Attachment 4196
Níveis intradiários.
Hoje, temos estreitos dentro do dia. Reduções aparecem quando não quebramos os níveis intradiários. Ontem, o nível superior foi de 1.1346, e o nível mais baixo foi de 1.1351. Hoje, o topo é 1.1319, enquanto o inferior é 1.1289. E hoje, em que nível a sessão europeia será aberta.
Sinais intradiários.
Tudo correu quase conforme o planejado. O principal é que não fomos além do intervalo especificado.
Attachment 4197
Negociação intradiaria.
Hoje, espero um movimento para 1.1350, talvez para 1.1380 como um bônus, e de volta para 1.1289.
Attachment 4198
2 Attachment(s)
EUR/USD - movimentos significativos
Olá pessoal,
Não há nada a dizer sobre o dia de negociação anterior. Eu não podia comprar e vender. E não houve atividade para o par. Nós estávamos negociando em uma faixa estreita novamente.
O calendário não está cheio de notícias importantes, o que significa que não faremos movimentos significativos novamente.
No período de tempo M15, a negociação é realizada acima da área chave de 1,1299, ou seja, tenho um sinal para crescimento contínuo. No final do dia, o par conseguiu consolidar acima de 1,1318. É por isso que todos os períodos gráfico até o H1 são direcionados para o lado positivo. No M30, existe suporte em 1.1286 e este é um lugar para abrir um pedido, mas eu não quero que o M15 seja quebrado, então não devemos ir abaixo de 1.1299.
Attachment 4201
O flat no H1 me impulsiona. Não é sempre claro o que esperar dele. Afinal, parece que o movimento ascendente foi confirmado a partir dos níveis de tendência, mas estamos parados. A área do sistema no H1 cria uma barreira para os vendedores na área de 1.1283. E se nos consolidarmos abaixo, terei que atrasar meu plano ascendente.
De acordo com a grade de Fibonacci, a área anterior de 161,8 continua sendo o alvo desejado, onde uma recuperação intradiária é possível.
Attachment 4202
Em geral, continuo a esperar um movimento ascendente dos preços. Em teoria, seria possível comprar a partir dos níveis atuais, pois se isso der errado, vou fechar a ordem ao consolidar abaixo de 1,1283, mas decidi esperar por um ponto de entrada em 1,1299. Eu espero crescimento para 1.1355 - 1.1363 com tentativas de reduzir daqui.
2 Attachment(s)
EUR/USD - outra estagnação do euro após uma semana intensiva.
Olá especuladores,
Ficamos um pouco satisfeitos com o otimismo do euro, mas agora entra no período de estagnação.
No entanto, esta semana, vamos ver a transferência de volumes de um contrato para outro.
De acordo com os dados do CME, o preço não chegou a lugar algum, enquanto o interesse aberto mudou muito.
Attachment 4205
Se você olhar para o gráfico de futuros, pode-se notar que o preço está atualmente acima do núcleo do contrato e do núcleo do ano.
Na verdade, isso é um sinal de crescimento.
A única coisa que me confunde na tendência de longo prazo é a falta de retrocesso no H4.
Claro, havia pequenos recuos, mas ainda não havia profundidade.
Considerando que estamos próximos do alvo pretendido, suponho que até o final da semana, poderemos crescer e recuar.
Hoje, vejo a única opção: cair até a área de 1.1260-1.1220 e subir a partir daqui.
Aqui está o forte apoio que não foi testado depois do rompimento de sexta-feira de ontem.
Ou seja, fomos para o outro lado, mas não confirmamos nossas intenções.
Então, o plano de ação para hoje é simples: espero um recuo e vou comprar abaixo de 1.1260.
Os alvos são curtos. Espero que na quinta ou sexta-feira eu cubra a maioria das compras na faixa de 1.1390-1.1400.
Attachment 4206
Quanto ao histórico de notícias, não há nada de interessante para o par euro-dólar. No entanto, isso não significa que ficaremos parados hoje.
Movimentos significativos para uma semana inteira geralmente começam às terças-feiras.
Vamos ver o que vai acontecer desta vez.
1 Attachment(s)
EUR/USD- Perspectiva de mercado
Olá pessoal!
Se o EUR/USD ultrapassar o nível de 1,1350, o ´par poderá subir ainda mais, mas não acredito que a tendência de alta seja sustentável. No gráfico H1, vi uma contração, então isso significa que o preço deve se manter estável por um tempo. O par pode estar flutuando entre 1,1400 e 1,1280. Anteriormente, eu esperava que o preço voltasse a 1.1190 no período de tempo D1, mas o gráfico 4H não fornece tais sinais. Não tenho ideia de como o par atingirá 1,1190. Por enquanto, esse movimento é muito improvável. Portanto, é mais possível que o par esteja pairando entre 1,1400 e 1,1280 antes da decisão da taxa de juros do Fed. Depois disso, o preço pode disparar. Eu acho que esse cenário é plausível, já que os ursos não estão tão fortes. A melhor solução para agora será manter acima de 1.1280 ou 1.1250 pelo menos.
Attachment 4208