3 Attachment(s)
EUR / USD - Análise técnica
Olá pessoal,
Negociação intradiária
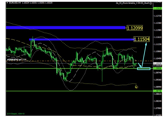
Não há muito para falar. Espero que o preço caia e depois recupere para 1,1150.
Attachment 4875
O par EUR / USD não tem uma direção clara antes da reunião do Fed.
D1 mostra uma tendência de baixa.
H4 mostra uma tendência de alta.
H1 mostra movimento plano.
Então, a imagem é mista. Quero descobrir o que o par realmente fará antes da reunião do Fed, para que eu possa lucrar depois disso.
Deixe-me compartilhar com você o que meu sistema mostra.
O nível 1.1080 confirmará uma tendência de alta. Assim, teremos dois prazos mostrando uma tendência de alta, considerando H4. No H1, o par deve recuar após atingir 1.1080. No lado negativo, o par pode tocar em 1.0970 e depois se recuperar para 1.1150 e 1.1160. Há uma forte resistência em 1.1160, então o par pode recuar bastante fundo para o lado negativo depois de atingi-lo. No entanto, se esse nível for quebrado, o par poderá desenvolver um grande rally.
Assim, se H1 também mostrar uma tendência de alta, os touros terão mais chances.
Espero que o par recue para 1,0970 após a reunião do Fed, não necessária, mas provável, e depois suba para 1,1150.
Attachment 4876
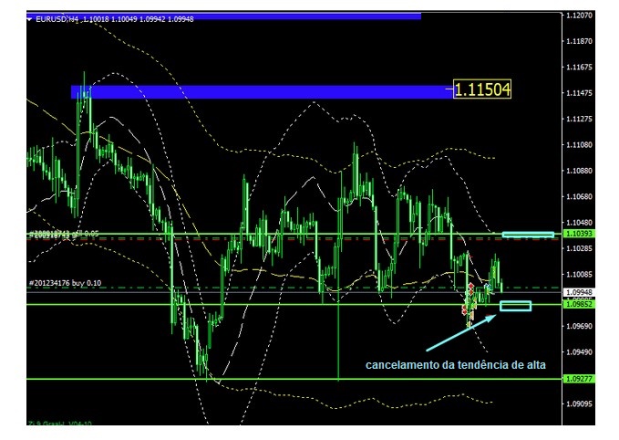
Hoje níveis intradiários
1.1057 para baixo.
1.0995 para baixo
Ontem, o par quebrou qualquer um desses níveis e a faixa de negociação ficou mais estreita. Não é tão bom antes da reunião do Fed, porque o par pode quebrar os dois níveis depois dela. Nesse caso, o intervalo aumentará e, quando isso acontecer, o par geralmente retornará ao início do dia.
Attachment 4877
2 Attachment(s)
EUR / USD - Perspectiva de mercado
Olá pessoal,
A situação parece favorável aos ursos. O preço deve subir para 1042-49, vou adicionar algumas ofertas para vender lá. No entanto, o par deve passar pelo saldo intradiário em 1036 primeiro. Depois disso, o par pode descer para o fundo em 0953.
Attachment 4881
Meu sistema também mostra uma tendência de baixa. 1043-50 parece ser uma forte resistência e um bom ponto para entrar no mercado para vender com um alvo de 1002 por enquanto. No entanto, o preço pode cair mais baixo.
Attachment 4882
3 Attachment(s)
EUR / USD - Visão de Mercado
Olá pessoal!
Aqui estão minhas opiniões sobre negociação intradiária. Hoje, uma negociação de EUR / USD será simples e lucrativa. Você não acredita? Meu conselho é observar os níveis 1.1072 e 1.1034. Eles são níveis mágicos. O preço seguir nessa direção que será quebrado.
Attachment 4891
Vamos analisar o EUR / USD em detalhes. O preço entrou em uma espiral descendente. Seria bastante complicado para sair de tal quantidade. Então, meus amigos! Apenas seja paciente. Outra coisa, analisando EUR / USD, estou com medo. Parece que o preço está subindo, mas, na verdade, uma previsão não se tornou realidade. Então, o preço fez uma fuga falsa. O que realmente está acontecendo é o que parece estar subindo mais alto, mas apenas pisando na água. Um dia feliz, EUR / USD é pago como uma gota de gargalo. A questão é onde. Em nenhum momento, espero que a vantagem seja igual a 1,1150. O que acontecerá após seguir as circunstâncias. Acho que é provável que o preço diminua depois disso, porque meus indicadores não sinalizam um pico muito alto. Do ponto de vista técnico, o mercado está sendo negociado sem um sentimento claro. Até o Federal Reserve não conseguiu unir especuladores. Enquanto isso, o par está subindo. Sim meus amigos. Espero que o preço atinja 1.1150. Se você estiver errado com minhas expectativas para cima, você será o primeiro a saber disso.
Attachment 4892
Os níveis intradiários são os seguintes: o nível superior é 1.1073 e o inferior é 1.1034. Espero que a saída de um desses níveis nos dê uma direção hoje. O pior cenário é o de estar firmemente preso ao lado como ontem e anteontem por causa da reunião de política do Fed. Não é engraçado, mas está sendo negociado na reunião de política do Fed. Como as coisas costumavam ser diferentes no passado.
Attachment 4893
1 Attachment(s)
EUR / USD - Perspectiva de mercado
A situação atual com o euro me lembra ontem, mas há algumas nuances como sempre.
Para começar, o padrão não foi elaborado ontem, mas eu nunca pensei que isso iria acontecer naquele dia. Portanto, 0990 deve ser considerado como uma dívida.
Hoje, esse padrão ainda está em vigor. E deve ser visitado como uma zona obrigatória e depois passar para 1013.
No entanto, hoje, o saldo do dia em 1026 pode não nos deixar diminuir. O topo do canal diário de opções é 1078 e este é o principal objetivo de crescimento (se não for ultrapassado, mas o euro pode fazer isso e depois passar até 50 pontos).
Attachment 4894
3 Attachment(s)
Análise técnica em EUR / USD
Olá traders,
Negociação intradiária.
A tendência de baixa continua sendo a prioridade dentro do dia. A quebra de 1.1040 cancelará a tendência de baixa. Há um zigue-zague ascendente dentro do dia. Por enquanto, podemos ver algumas tentativas de avançar para 1,0980.
Attachment 4897
Vou explicar o que meu sistema de negociação mostra. Como você entende, a direção geral é descendente. O período diário mostra o mesmo. É direcionado para baixo e o preço está em desvantagem. Mas devemos levar em consideração o fato de que qualquer retração pode se transformar em uma reversão. No momento, o H4 está realizando uma retração do movimento descendente, a fim de interromper a tendência de baixa e alterar a tendência geral para a ascendente. É necessário que o 4H supere o nível de 1.1220. E para alcançá-lo, precisamos desenvolver um movimento ascendente. É o que espero do H4. Agora ele tem a chance de se destacar e subir. Mas para uma tendência de alta, o H4 deve ficar acima de 1.0990 e 1.0980. Se rompermos abaixo, entraremos na área dos ursos. Nesse caso, o alvo mais baixo será 1,0820. A última linha dos touros, o nível 1,0820, é o ponto em que os touros devem se manter e fazer uma reversão para cima. Mas como o EUR / USD está desacelerando um pouco, não conseguiremos chegar a 1,0820. Enquanto isso, o H4 está acima de 1.0990 e 1.0980, há uma chance uma saída ascendente. Bem, vamos ver o que acontece.
Attachment 4898
Níveis intradiários para hoje.
O nível superior é 1.1067.
O nível mais baixo é 1.1000.
Dada a distância para o nível superior, verifica-se que não conseguiremos alcançar o lado positivo hoje. Só podemos preparar o terreno para isto, ou seja, romper o nível mais baixo. No entanto, isso não significa que continuaremos com a tendência de baixa, apenas retornaremos e ficaremos presos lá o dia inteiro. Então, amanhã, ou seja, na terça-feira, estaremos prontos para um movimento ascendente dentro de um dia.
Attachment 4899
2 Attachment(s)
EUR/USD - Perspectiva do mercado
Olá traders,
De acordo com o meu sistema de negociação, este é agora o começo da tendência de baixa. É verdade que a situação não é tão simples. No entanto, ontem, conseguimos romper a borda inferior da balança e retornamos.
Até agora, estamos parados. Os comerciantes estão comprando no mercado. Aparentemente, eles estão esperando crescimento, mas o preço não muda.
Agora, estou considerando apenas dois cenários:
1. Vamos descer dos níveis atuais para a área de 1.0930 e abaixo.
2. Em seguida, retorne à área original de 1.1015-1.1020 e desça novamente.
Não vejo mais opções para hoje.
Portanto, não penso que a tendência de baixa esteja quase no fim.
Attachment 4903
Quanto às vendas, não há sinais de problemas até o momento.
Embora muitos não pensem assim.
Talvez eu esteja errado, mas ainda assim, estou trabalhando de acordo com o mesmo plano de sempre.
Attachment 4904
Agora, o principal é não ultrapassar a 1.1025, caso contrário haverá caos novamente.
Agora, há um sinal da contínua tendência de queda, por isso vou trabalhar em direção ao lado negativo.
2 Attachment(s)
EUR / USD - Negociação intradiária.
Olá pessoal.
EUR / USD tem a última chance de acabar com a tendência de baixa. Se não conseguirmos fazer isso em algumas horas, a tendência de baixa será cancelada hoje.
Attachment 4905
Quanto ao par EUR / USD, ontem, destruímos o último limite ascendente, com a quebra de 1.0990 e 1.0980. De fato, a tendência de queda de sexta-feira continuou ontem. Portanto, os ursos mudaram H1, M30 e M15 em direção ao lado negativo. Mais tarde, o M15 mudou-se para o lado positivo novamente. Dentro do dia, indica uma retração do movimento descendente. Para finalmente interromper a tendência de baixa, também devemos mudar o M30, criando assim um efeito cascata. Nesse caso, M30 e H1 também serão revertidos. Todos os níveis estão agora em torno de 1,1016. Este nível confirmará a tendência de alta dentro do dia. Enquanto o preço estiver abaixo do nível de 1,1016, a tendência de baixa continuará sendo a prioridade. Mas se interrompermos o movimento descendente, haverá uma reversão ascendente em três períodos gráficos. Mas, para que a tendência de alta seja plena, será necessário subir. Mas se ficarmos presos e começarmos a desenhar em zigue-zague, levará muito tempo para sair dela. Em geral, todas as moedas estão se movendo bastante bem nas últimas duas semanas, enquanto EUR / USD é o elo mais fraco entre essas moedas. É por isso que acho que o EUR / USD atualmente é adequado apenas para negociações intradia. No entanto, o retorno não pode ser superior a dez pontos.
Attachment 4906
Níveis intradiários.
O nível superior é 1.1016.
O nível mais baixo é 1.0965.
Bem, vamos ver o que o par nos mostrará. Pode continuar a tendência de queda ou recuar. Em geral, permanece o fato de que estamos parados.
3 Attachment(s)
EUR / USD - Perspectiva de mercado
Olá pessoal,
Hoje, não haverá forte movimento ascendente. M15 entrou na área de vendas. Espero que o preço atinja 1,1010 ou talvez um pouco mais alto. Então acho que vai cair de novo. Finalmente, o nível 1.0985 cancelará a tendência de alta dentro do dia.
Attachment 4907
Ontem, meus medos sobre a tendência de baixa foram realizados. Recebi uma dica do sistema mais uma vez. Houve um efeito cascata como eu esperava. M15 virou M30, agora dois prazos são direcionados para a parte superior do dia. Mas é muito cedo para os touros se alegrarem, o movimento principal ainda permanece em baixa. Até agora, há apenas uma correção do movimento descendente. E essa correção pode ser feita no nível de 1.1150. Para desenvolver a tendência de alta, ainda precisamos chegar à 1.1050 e, em seguida, recuar normalmente. A retirada é aceitável até os níveis de 1.0990 e 1.1010. Após o recuo, precisamos ir para a 1.1150. A propósito, quando chegarmos à 1.1050, uma bela onda em direção ao lado positivo será criada no H1. Quanto melhor a onda, mais forte a inversão. Hoje, para a tendência de alta, não é necessário estar acima do nível de 1.1014 e ficar longe do nível de 1.10985. Esta é a primeira condição para um movimento ascendente. Se atingirmos 1,0985, a tendência de alta será cancelada hoje. Mas não haverá forte movimento descendente, porque o M30 é um obstáculo à tendência de baixa. Até agora, é direcionado para o lado positivo. Em geral, vejo um movimento descendente limitado. Quanto à tendência de alta, o caminho está aberto, sem levar em consideração a 1.1050 onde se espera um zigue-zague. Mas isso não é necessário. O preço pode fazer um movimento ascendente acentuado sem zigue-zague, mas duvido que o EUR / USD seja capaz de fazer isso.
Attachment 4908
Níveis intradiários para quarta-feira.
O nível superior é 1,1014.
O nível mais baixo é 1.0985.
Infelizmente, o alcance é pequeno. Mas não temos escolha, o que significa que trabalharemos em um pequeno intervalo de qualquer maneira.
Attachment 4909
1 Attachment(s)
Perspectiva do mercado para o EUR/USD
Olá, traders,
Hoje, a zona obrigatória está abaixo do preço e serve como suporte. Não é difícil adivinhar que foi a baixa da sessão americana. Portanto, fecharei as operações de venda em 2461-66 (se voltarmos para lá dos níveis atuais) e abriremos algumas operações de compra, porque existem 120 pontos para atingir o nível da mudança de tendência e esses intervalos geralmente não são testados imediatamente. Embora as coisas aconteçam no mercado.
O primeiro obstáculo é o saldo de 2492 que encontramos. A "primeira venda global" é 2527. O limite superior do dia é 2474 e somente 2581 (o nível da tendência irá mudar para "compra").
Portanto, não se espera que o caminho seja fácil. Mostrei tudo no gráfico, embora possamos adiar esse movimento para o final da semana e passar o dia atual em uma tendência lateral.
Attachment 4910
3 Attachment(s)
EUR / USD - Visão de Mercado
Olá traders!
A probabilidade de quebrar 1.0920 está aumentando. O mercado supervaloriza o cenário de corte de taxa pelo Federal Reserve, aguardando ganho no núcleo do PCE. O euro abalou os PMIs de manufatura sombria. Enquanto isso, o euro está subindo. O dólar da Nova Zelândia vai negociar com maior volatilidade em breve. Deixe-me lembrá-lo de que a ideia de controlar as taxas de câmbio no Forex foi aumentada pelo Departamento de Economia dos EUA em agosto. Pessoalmente, aceito essa ideia como algo a mai. A discussão foi suspensa desde então, mas ainda não vejo os resultados. O mercado gradualmente percebe que é improvável que o Fed dos EUA se aventure em flexibilização monetária agressiva. Durante todo o ano, os investidores especulam sobre a revisão da política monetária. Curiosamente, o mercado negligencia as observações reais do regulador. Analistas explicam que o banco central dos EUA iniciou um ciclo de flexibilização monetária. No entanto, após algum tempo, a inflação vem subindo a um ritmo constante e alguns setores econômicos estão mostrando resistência aos ventos externos. No mercado futuro, os ursos, que estavam apostando em flexibilização monetária agressiva, estão recuando. Os títulos de referência estão negociando no mercado instável em meio a nervosismo político, embora seus rendimentos ainda estejam longe do limite inferior. A curva de rendimento geral é invertida apenas para títulos de 5 anos. A curva de juros deve reverter em breve, o que é um bom sinal para a força do dólar.
Attachment 4912
Os títulos de 5 anos são a chave para a reversão completa da curva de juros. Eles indicam pressão inflacionária que caiu em meados do ano. Na sexta-feira, os EUA devem divulgar dados de inflação, incluindo o Core PCE, o principal critério do Federal Reserve. Os economistas esperam que o Core PCE suba de 1,5% para 1,8%. O CPI principal com preços de energia pode crescer de 0,2% a 1,6%. Eu esperava aceleração no mês passado, mas algo deu errado. Apesar dos altos gastos dos consumidores em meio ao crescimento geral do IPC, os principais dados foram surpreendentemente mornos. Vamos esperar e ver como serão os dados da inflação no final da semana.
Attachment 4913
Notavelmente, mesmo as pombas ávidas do Federal Reserve não acreditam que taxas mais baixas sejam necessárias com urgência. Charles Evans, que votou em um corte de taxa este mês citando riscos no exterior, adotou uma postura hawkish. Do ponto de vista dele, o regulador não precisa abaixar as taxas mais uma vez porque os dois últimos cortes de taxas foram suficientes para impulsionar a inflação acima do nível alvo de 2% do Fed. Em essência, o funcionário do Fed quer interromper a flexibilização monetária agora e monitorar outros indicadores macroeconômicos. Obviamente, a situação é incerta, por exemplo, uma nova tendência no investimento empresarial. No entanto, a demanda doméstica é alta e os salários têm aumentado mais do que o esperado. Portanto, existem três argumentos importantes para a força do dólar: um aumento no mercado de crédito, expectativas mais baixas de cortes nas taxas e dados de inflação que serão entregues na sexta-feira. No entanto, a única mosca na pomada é a contração nos pedidos de equipamentos comerciais. Além disso, os principais indicadores podem sinalizar uma desaceleração do PIB dos EUA. Indicadores para mostrar tendências a longo prazo terão impacto no mercado posteriormente. Assim, o mercado poderia precificar dados de inflação sólidos em EUR / USD até a noite de 27 de setembro.
A tabela técnica revela desenvolvimentos interessantes. No período de quatro horas, o indicador ADX subiu acentuadamente. Portanto, prevemos que a pressão de baixa empurrará o preço 80 pips para baixo. É importante ressaltar que o preço precisa passar da linha mediana para confirmar esse cenário. Isso é possível assim que o preço atinge 1,0920. O gráfico de 1 hora está superaquecido. Portanto, espero que o par se afaste ou consolide. Os indicadores técnicos sinalizam claramente a tendência de baixa. Minhas expectativas de atingir 1,0860 - 50 estão crescendo dia a dia. Um salto acima de 1,1020 é duvidoso.
Attachment 4914