3 Attachment(s)
EUR / USD - Negociação intradiária.
Olá pessoal,
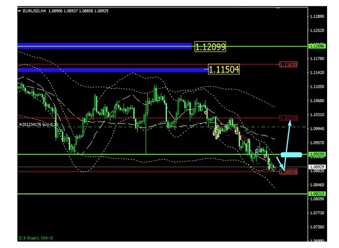
Dentro de um dia, espero uma retração que confirmará a fuga de 1.0940. A quebra de 1.0922 retomará a tendência de baixa. Os alvos estão abaixo, 1.0890 e 1.0870.
Attachment 4921
Ontem, não havia nada de significativo em termos de movimento. A tendência geral permanece de baixa.
Existem algumas mudanças dentro do dia. Isso pode mudar a tendência do par EUR / USD de baixo para cima. Para fazer isso, é necessário desenvolver o sinal intradia no M15. Ontem, o M15 entrou na zona de compra. Hoje, vamos descobrir como isso vai acabar. E tentarei explicar o que podemos esperar hoje, de acordo com o sistema. No momento, há apenas M15 para um movimento ascendente. Como você entende, M15 não é suficiente. Mas, para fortalecer e apoiar a tendência de alta, a primeira coisa que precisamos fazer é atingir a marca de 1.0990. A diferença entre ontem e hoje é de apenas 20 pontos. Ontem, eram 1,1020. Mas, mesmo se atingirmos o nível de 1,0980, não haverá tendência ascendente. Isso apenas confirmará. Então, como sempre, espero uma retração, onde o preço não deve cair muito fundo, caso contrário, isso interromperá a confirmação da tendência de alta. Além disso, após a retração, precisamos romper a 1.0980, o nível que serviu de confirmação da tendência de alta. Somente depois que todas essas etapas forem concluídas, poderemos nos preparar para uma reversão no H1. Enquanto isso, temos uma simples retração do movimento descendente. Nosso movimento adicional dependerá da maneira como o recuo será desenvolvido no M15. Em geral, desde que o preço esteja abaixo de 1,0980, a tendência de baixa permanece em vigor. Tudo o que precisamos fazer a seguir é seguir os níveis intradiários para determinar a direção de hoje.
Attachment 4922
Níveis intradiários para sexta-feira. Os níveis são úteis enquanto a sessão europeia está aberta. Quando o mercado fechar, os níveis perderão sua força.
O nível superior é 1.0966.
O nível mais baixo é 1.0922.
Attachment 4923
1 Attachment(s)
EUR / USD - TST como base de negociação de médio prazo
Olá, traders,
Embora eu entenda que o euro ainda possa cair, não vou mais vendê-lo. Quanto às ofertas de compra, na ausência de uma zona obrigatória, eu as consideraria. Nesse caso, preciso decidir onde colocar uma ordem de stop loss. Ainda não consigo, exceto pela mínima. Mas isso está de acordo com minhas regras. Então, vou esperar um movimento e tentar comprar em meio a uma correção.
Attachment 4925
3 Attachment(s)
EUR / USD - Negociação intradiária.
Em relação ao EUR / USD, espero outro movimento ascendente para o nível 1.0960 e, em seguida, um movimento descendente até 1.0905.
Attachment 4929
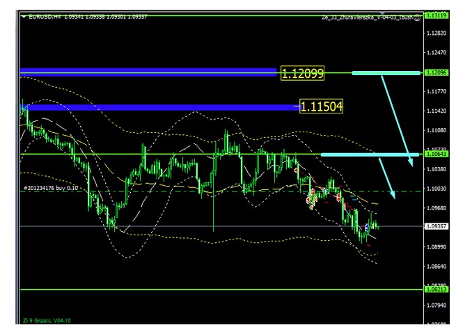
Agora vamos descobrir o que o sistema mostra e em quais níveis a tendência de baixa deve ser interrompida. A quebra da tendência de baixa não significa uma reversão. É apenas um grande recuo. As reversões geralmente ocorrem no período diário. Então, vamos começar com D1. É direcionado para o lado negativo, essa é a tendência geral. O período diário será quebrado no nível de 1.1200 e, enquanto estamos abaixo, a tendência permanece em queda. Is4 é direcionado para baixo. Geralmente mostra quando um grande recuo começa. O início do recuo será confirmado no nível 1.1070. Após cada confirmação da tendência de alta, sempre fazemos um zigue-zague de volta para o lado negativo. Isso mostra o humor entre ursos e touros.
O humor de sexta-feira mostra que há mudanças nos indicadores intradiários. Isso significa que o processo de recuperação começa. Então tudo depende se conseguiremos atingir o nível de 1,1070 no H4 ou o nível diário de 1,1200 para mudar o clima do mercado. Então, vamos seguir M15, M30 e H1. Eles são responsáveis pelos movimentos intradiários. Bem, os níveis intradiários nos ajudarão com isso.
Attachment 4930
Níveis intradiários para segunda-feira.
O nível superior é 1.0956.
O nível mais baixo é 1.0907.
De acordo com os níveis, temos uma chance melhor de subir.
Mas primeiro, devemos descobrir a direção do rompimento. Depois, decidiremos o que fazer em seguida e onde obter lucro.
Attachment 4931
3 Attachment(s)
EUR / USD - Visão de Mercado
Olá a todos.
Após concluir a terceira onda, o par EUR / USD provavelmente passará para a quinta.
Ontem, não prestei atenção ao componente de inflação da semana. Hoje, notei uma desaceleração da pressão de preços na Alemanha e Itália, bem como zero indicadores na Espanha, o que torna sombria a previsão final do IPC da área do euro.
Quanto a outros indicadores, não vejo muita diferença. A confiança do consumidor caiu significativamente ultimamente. Com os dados sobre a inflação, também foi divulgada a taxa de desemprego da Alemanha, que caiu para quase um recorde. Além disso, o crescimento das vendas no varejo diminuiu. Como você se lembra, uma situação semelhante foi observada na zona do euro em 2012. Os preços estão diminuindo, a atividade econômica está caindo e os consumidores, no que lhe concerne, estão começando a economizar dinheiro. Este último tem um óbvio impacto negativo no IPC. Isso é chamado de espiral deflacionária.
Em 2012, o BCE rejeitou totalmente a possibilidade de tal cenário, mas um ano depois lançou o seu programa de flexibilização quantitativa. Na quarta-feira, o indicador final para a zona do euro será divulgado. Acho que estará abaixo do limite previsto pelo regulador monetário. O último boletim econômico continha a cifra de 1% para este ano. Atenção especial deve ser dada ao CPI principal. Se o índice permanecer inalterado, isso anulará parcialmente o efeito negativo.
Attachment 4934
A zona do euro está gradualmente se tornando a principal fonte de informação negativa. Seis meses atrás, os números negativos foram publicados com menos frequência, enquanto agora quase todos os principais indicadores se mostram negativos. Esta é uma situação infeliz para o mercado de câmbio. Além disso, o economista-chefe Philip Lane sugeriu a possibilidade de que as taxas de juros fossem cortadas novamente e mais medidas de estímulo seriam usadas, se necessário. De acordo com o último cenário econômico, que quase atingiu seu nível mais baixo nos últimos anos, essa necessidade será discutida. Deve-se notar que a questão não é se essas etapas serão executadas ou não. O simples fato de esse assunto ser discutido é suficiente para que o par EUR / USD avance para a quinta onda.
Existem argumentos mais do que suficientes para acelerar ainda mais. Tanto técnicos quanto econômicos. Em comparação com os dados dos EUA, pode-se ver que os indicadores são diferentes. O PCE principal e o PCE cresceram. O primeiro índice aumentou 0,2%, enquanto o segundo aumentou 0,1%. Quanto à região europeia, o indicador deverá desacelerar na mesma quantidade. É possível esperar uma política monetária multidirecional nessas condições? Sim, é bem possível. Tal situação foi observada no período de 2013 a 2016.
Correção a curto prazo
Agora, vamos considerar a situação de um ponto de vista técnico e descobrir como ela pode ser apresentada no gráfico. Agora vejo que a terceira onda de declínio está sendo concluída no gráfico. Geralmente, é a onda mais longa. Para que ele se torne o mais longo, precisamos concluir o atual movimento de baixa o mais cedo possível, em 1,0860. Podemos até atravessá-lo e descer um pouco. Quanto à estrutura técnica, tudo faz sentido. Todas as ondas de baixa ordem são claras. Em seguida, precisamos fazer uma correção e mover de acordo com a quarta onda. O alvo é 1,1010.
Attachment 4935
Perspectivas de longo prazo
Se esperamos que a terceira onda seja concluída, devemos estar prontos para a quinta. A propósito, a quebra da linha de tendência anual mais baixa indica um movimento acelerado. Este é um sinal de um movimento descendente mais rápido no futuro. Existem alvos suficientes aqui. Temos -38,2 com o nível de preço 1,0720 e -61,8 com o nível 1,0620. Mas a estrutura da quinta onda pode ser diferente. Pode ser encurtado. No entanto, com base nos dados recebidos, provavelmente haverá um movimento acentuado até 1,07.
Attachment 4936
3 Attachment(s)
EUR/USD- Perspectiva de mercado
Olá pessoal,
Negociação intradiária.
Dentro do dia, ainda estamos descendo. O alvo é 1.0840. Hoje eu não vou vender. Eu nem vou realizar negociações intradia. Mas a tendência de baixa ainda está em vigor. No M15, a tendência de baixa será cancelada em 1.0910. No H1, a tendência de baixa será cancelada em 1.0925. Em geral, tudo está próximo. Tudo o que podemos fazer é esperar por um recuo.
Attachment 4937
Ainda não houve alterações no EUR / USD. Ainda estamos em desvantagem. H1 ainda está direcionado para o lado negativo. Não há sinal de reversão. Agora vamos considerar o que o preço deve fazer para recuperar a tendência de alta. De acordo com a análise técnica, a primeira dica de tendência de alta será no nível de 1,0925. Mas isso é apenas uma dica. O preço precisa diminuir em zigue-zague até 1,0890. No nível 1.0890, ocorrerá uma reversão. Bem, se não, teremos que passar pela 1.0890 e depois cair. Esse processo será relevante após atingir 1,0925. Enquanto estivermos abaixo de 1,0925, continuaremos a avançar em uma tendência de queda.
Attachment 4938
Níveis intradiários.
O nível superior é 1.0947.
O nível mais baixo é 1.0884.
Aqui estão nossos níveis para hoje. Eles nos mostrarão o caminho verdadeiro, como ontem, quando, depois de ultrapassar o nível de 1.0907, a tendência de baixa foi confirmada e passamos para 1.0884.
Attachment 4939
1 Attachment(s)
EUR / USD - Visão de Mercado
Bom Dia a todos!
Quarta-feira - o principal dia de negociação da semana e hoje toda a sorte pertence aos touros. Pelo menos, é assim que parece, de acordo com todos os sistemas e padrões.
Vamos começar com o padrão de diamante - um padrão de gráfico de reversão. Existem alguns detalhes, mas a partir da marca mais baixa, o preço só pode subir.
Então, vamos dar uma olhada nos indicadores de níveis. Hoje, podemos observar três padrões: o padrão do dia interno, a zona obrigatória com o índice de liquidez atual e o preço acima do canal de negociação de opções.
Esses padrões funcionam de uma maneira diferente, mas em todos os casos o preço pode atingir o saldo do dia em 2157. Depois disso, ele pode disparar e permanecer lá até o final da semana ou até mais. Mas para esse cenário eu daria apenas 30%.
Prefiro o segundo cenário, quando o preço testa a zona obrigatória (2287-2313) e o padrão de reversão em 2345, uma vez que existe uma diferença perfeita de 50 pips entre essas duas zonas. A abertura de preço acima do canal de negociação de opções (2293) é um sinal direto de uma tendência ascendente.
Podemos começar pelas posições atuais, mas é melhor retornar ao saldo do dia de 2268. Considero o ponto de partida ideal para o preço.
Attachment 4947
3 Attachment(s)
EUR / USD - Visão de Mercado
Olá pessoal,
Ontem, eu estava esperando por um movimento ascendente. Ou seja, uma reação clara.
Por quê?
Deixe-me lembrá-lo que, na terça-feira, de acordo com os dados do CME, o OI da libra aumentou mais de 22k.
No entanto, o resultado foi o seguinte:
Attachment 4950
De qualquer forma, ainda há o comprador, e isso não me impediu de entrar. Além disso, o segundo contrato foi aberto ao melhor preço do dia.
Attachment 4951
Embora eu tenha duas ofertas de compra, vou abrir mais longas.
Agora precisamos entender que, se não me engano, os alvos são 1,2411 e 1,26.
No entanto, a libra está sob controle do vendedor. O comprador está localizado abaixo e o vendedor acima. E a libra está presa no meio.
Attachment 4952
De acordo com o delta, podemos ver o intervalo do comprador - 1,2264-1,2290. Aqui, procurarei condições para a abertura de compras.
A quebra de 1,2250 cancelará a tendência de alta. Nesse caso, fecharei negócios longos e voltarei ao fundo. Além disso, os níveis mais baixos serão relevantes nesse cenário.
2 Attachment(s)
EUR / USD - Visão de Mercado
Olá pessoal,
Em relação ao EUR / USD, acho que não devemos recuar, caso contrário, na melhor das hipóteses, ficaremos presos no fundo até a sessão americana ou amanhã. No pior cenário, a tendência de alta será interrompida.
Enquanto isso, o H1 está subindo. É claro que quero obter lucro o mais rápido possível, mas o sistema mostra que uma retração descendente atrasará o movimento ascendente. Se subirmos dos níveis atuais, a tendência de alta será fortalecida, pois o M15 será quebrado e virado para cima.
No gráfico, há um indicador amarelo, que está se movendo em uma tendência lateral. E não está claro se ele vai subir ou descer.
Attachment 4955
Hoje, no M15, precisamos chegar ao topo e subir ainda mais.
Attachment 4956
3 Attachment(s)
EUR / USD - Negociação intradiária.
Olá pessoal,
A tendência de alta permanece em vigor. Os alvos são 1.1010 e 1.1040. A fuga de 1.0940 cancelará a tendência de alta dentro do dia. A quebra de 1.0998 confirmará a tendência de alta.
Attachment 4960
Nesta semana, o par está sendo negociado em um canal ascendente, mas isso não é uma tendência, mas apenas uma correção da tendência. Espero que essa correção se transforme em uma reversão. Para isso, precisamos apenas atingir o nível de 1.1140. Mas antes de chegar a 1.1140, precisamos cuidar do nível 1.1040. No H1, o nível de 1,1040 girará para cima, fortalecendo a tendência de alta. Então, o H1 começará seu grande recuo. Quando chegarmos ao nível 1.1040, provavelmente haverá uma recuperação. Após a recuperação, espero uma retração para o nível de 1,1010 e talvez até para 1,0990. Então seremos capazes de atingir o nível de 1.1140-50. A propósito, existem dívidas nos níveis 1.1150 e 1.1200.
Agora, deixe-me lembrá-lo de onde nossa tendência ascendente será quebrada.
No H1, a tendência de alta será quebrada em 1.0910.
No M30, a tendência de alta será interrompida no nível 1.0950.
De acordo com os níveis, pode-se ver que os touros precisam se apressar. Obviamente, após cada quebra de nível, espera-se um recuo.
Attachment 4961
Níveis intradiários para sexta-feira.
O nível superior é 1.0998.
O nível mais baixo é 1.0940.
O nível superior de ontem foi de 1,0955. Após um rompimento, conseguimos 44 pontos.
Attachment 4962