2 Attachment(s)
EUR/USD - Perspectiva de mercado
Boa tarde pessoal,
Attachment 5903
Ontem, o euro se consolidou no intervalo de 1,0830 -1,0900. Mais tarde, caiu para 1,0817 e depois se recuperou até 1,0880. Apesar de o movimento atual ainda ser visto como parte do
fase de consolidação, o euro deverá subir. É por esta razão que o par EUR/USD pode encontrar resistência em 1.0900 - 1.0925. O nível de suporte está localizado em 1.0840. No entanto, apenas uma queda abaixo de 1.0815 irá sinalizar um enfraquecimento da dinâmica de alta. A nova trajetória do par EUR/USD não é claro ainda, e antes da abertura da sessão europeia, o EUR/USD está a negociar abaixo de 1,0850,
permanecendo no mesmo intervalo. Atualmente, os investidores aguardam os dados econômicos do Reino Unido em
Inflação dos preços no produtor e índice de preços no consumidor. O Canadá irá também divulgar o IPC e a habitação
dados de mercado hoje, enquanto a zona euro vai revelar um relatório sobre a confiança dos consumidores.
Além disso, traders estão antecipando o relatório sobre as reservas de petróleo do Departamento de Energia dos EUA.
Attachment 5904
2 Attachment(s)
Análise de mercado (22.04.2020)
Não se registaram alterações no gráfico diário do euro no último dia - a flutuação diária foi de 60 pontos, mas o dia quase fechou ao nível da abertura. A linha de sinal do oscilador de Marlin move-se estritamente na horizontal na zona de tendência negativa. A tendência geral é decrescente, espera-se que o euro diminua para suportar a linha do canal de preços embutido na região de 1,0610.
Attachment 5905
A linha de sinal do oscilador de Marlin subiu até à fronteira do território de crescimento no gráfico de quatro horas ao longo do último dia, mas o preço parou na linha do indicador de equilíbrio. Portanto, na situação atual, o crescimento de Marlin é considerado como o indicador que continua a descarregar antes de uma nova queda.
Attachment 5906
No entanto, a probabilidade do oscilador passar para uma zona de valores positivos cria o risco de um aumento de preços, possivelmente mesmo para a linha MACD, para a área 1.0928. Um sinal da queda decisiva do euro é quando o preço cai abaixo do mínimo do 17º (1,0812). *A análise de mercado aqui postada destina-se a aumentar o seu conhecimento, mas não dar instruções para fazer uma negociação.
Saiba mais em: https://www.instaforex.com/pt/forex_analysis/
3 Attachment(s)
EUR/USD - Perspectiva de mercado
Olá, traders,
A análise do EUR/USD para 23 de Abril de 2020
Negociação intradiária.
Tudo é descrito em detalhe no gráfico.
Attachment 5907
Níveis Intradiários para hoje:
O nível superior é 1,0884.
O nível inferior é 1,0819.
Ontem, o sinal ascendente foi quebrado com a quebra do nível 1,0840. Como resultado, de acordo com os níveis e sinais intradiário, o par começou a se mover em uma tendência descendente. Agora, para abrir as vendas, precisamos esperar por um recuo, e de preferência o nível de 1,0850. Este é um bom ponto de entrada para as vendas. As ordens de stop loss podem ser colocadas atrás do nível de 1.0884. É claro, outro cenário é possível. O par pode começar a movimentar-se em uma tendência lateral.
Attachment 5908
Análise com base no indicador do canal de regressão.
De acordo com o indicador, nos gráficos M15 e M30, o par euro/dólar está se movendo para baixo, enquanto no H1 ainda está sendo negociado lateralmente. No entanto, o preço não faz uma onda ascendente que poderia quebrar a tendência de baixa. Como resultado, a direção geral continua a ser descendente. Os indicadores intradiários também confirmam este fato. Se a direção permanecer inalterada, eu vou apontar para o nível de 1,0750. Por enquanto, este é o nível chave para mim. Pode haver uma recuperação e o preço pode virar para o lado positivo. Mas vamos primeiro considerar a forma como se espera que o dia de negociação atual termine. Depois será possível decidir o que fazer a seguir. Gostaria que a dupla fizesse um forte movimento, já que a semana não foi tão rentável para mim. Eu não sofri perdas, mas não ganhei muito. Portanto, boa sorte, caros amigos.
Attachment 5909
Tenham um bom dia!
2 Attachment(s)
EUR/USD - Perspectiva de mercado
Olá, traders,
Negociação intradiária.
Eu descrevi tudo sobre a negociação intradiária no gráfico.
Níveis intradiaria:
O nível superior é 1.0846.
O nível inferior é 1,0755.
De acordo com os níveis, o par euro/dólar ainda está se movendo em uma tendência descendente. Há um sinal de compra intradiária, ou seja, um puxão de volta. Como todos nós entendemos, um recuo não é o movimento principal, e devemos ter cuidado com ele. O recuo terminará quando o preço quebrar a baixa de ontem de 1,0755. Isto é esperado para retomar a tendência descendente do par. Assim, tudo depende do recuo e da forma como ele será concluído. Por enquanto, não há sinais da tendência de alta do par.
Attachment 5928
Análise com base no indicador do canal de regressão.
De acordo com os indicadores, a situação ainda é a mesma. H4 e D1 não são atualmente apropriados para definir a direção do preço. No H1, o preço está se movendo para baixo. Em geral, a direção é para baixo. Quanto aos indicadores intradiário M15 e M30, eles também estão indo para baixo, embora ontem tenha havido uma tentativa de subir.
No entanto, na sessão americana, o preço foi devolvido. Além disso, a tendência foi quebrada no M15 e M30, mas uma dívida foi deixada em 1,0815. Assim, quando o par vai para este nível na sessão europeia, devemos segui-lo. Então será possível tirar algumas conclusões, caso contrário os níveis da manhã muitas vezes indicam apenas a direção intradiária.
Attachment 5929
3 Attachment(s)
Análise EUR/USD para 27 de Abril de 2020
Olá, caros especuladores.
Quanto à negociação intradiária, tudo está indicado no gráfico. Alvo e ordem SL.
Attachment 5935
Níveis intradiários para hoje:
O nível superior é 1,0818.
O nível inferior é 1,0726.
De acordo com os níveis, o preço foi para a zona de compra dentro do dia, mas esta ainda é uma saída intradiária. Para que o preço suba não só dentro do dia, o par precisa de ultrapassar o nível de 1,0890. Se o preço ultrapassar os 1,0780, a tendência de subida intradiária do par será quebrada. Entretanto, de acordo com os níveis, o par está subindo.
Attachment 5936
Análise com base no indicador do canal de regressão.
De acordo com os indicadores, a situação continua a ser a mesma. H4 e D1 não são adequados para definir a direcção dos preços. Quero dizer que o preço em H4 e D1 está a mover-se numa tendência lateral. Ao mesmo tempo, em M15 e M30, o preço começou a subir. Em H1, verifica-se que o preço está a tentar virar para o lado positivo. Se o par for capaz de fazer uma inversão no H1, a tendência geral pode mudar de descendente para ascendente. Na verdade, espero que o par euro/dólar se inverta até terça-feira ou quarta-feira. O processo de inversão será concluído e o par começará a mover-se numa tendência ascendente. No entanto, o preço está a ser negociado lateralmente em gráficos maiores, o que significa que os alvos no topo serão limitados. Até agora, espero que o par atinja primeiro o nível de 1,0950. Tenha um dia de negociação rentável!
Attachment 5937
1 Attachment(s)
EUR/USD- perspectiva para o par
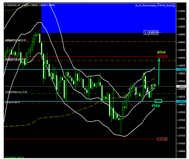
Ontem, o par euro/dólar conseguiu avançar e atravessou a área de 1,0820 - 1,0829 com pouco esforço. Ao mesmo tempo, os volumes no meio deste crescimento e a quebra deste nível não foram grandes, refletindo a quase total falta de resistência dos ursos. É claro que os traders fizeram uma tentativa de vender acima dessa área, mas o preço não desceu, enquanto o facto de o par se ter consolidado acima de 1,0820 - 1,0829 sugere que é provável que continue o seu movimento ascendente.
Attachment 5943
Assim, pode concluir-se que as compras continuam a ser a prioridade. Assim, espero hoje que o par faça uma recuperação da área de 1,0820 - 1,0829 e retome a sua tendência ascendente para os alvos ao nível de resistência mais próxima de 1,0880.
Eu não diria que os ursos ainda estão vivos. O facto de o par ter retomado o seu movimento descendente após ter atingido o nível de 1,0853 foi muito provavelmente devido à falta de mais pressão por parte dos compradores. No entanto, o par pode ainda hoje cair ligeiramente, mas ainda espero que isso não vá acontecer.
3 Attachment(s)
EUR/USD - Níveis intradiários
Olá, caros traders,
Quanto à negociação intradiaria, o par euro/dólar está registrando uma fraca tendência ascendente. O recuo da tendência ascendente ainda está em vigor. Penso que os touros vão fazer alguma coisa esta noite.
Attachment 5944
Os níveis intradia para hoje:
O nível superior é de 1,0859.
O nível inferior é 1,0827.
De acordo com os níveis, o par está negociando para cima. No entanto, há um pequeno contratempo. O ponto B ainda não está pronto, enquanto o ponto A foi criado ao nível de 1,0859. Uma vez formado o ponto B, é provável que o preço rompa com o ponto A e crie uma nova pequena tendência.
Attachment 5945
Análise com base no indicador do canal de regressão.
Os indicadores H4 e D1 não são adequados para definir a direção futura do par. No H1, o preço completou a sua inversão total para cima. Além disso, o preço fez um zigue-zague para baixo. Agora a única coisa que o par precisa de fazer é começar a mover-se numa tendência ascendente. De acordo com as minhas estimativas, o preço começará a subir ainda hoje, uma vez que poderá levar tempo para preparar o M15 para uma tendência ascendente. Além disso, os dados do Fed serão publicados esta semana. Como sabem, no meio de tais divulgações, o processo demora um pouco mais de tempo. Quanto as notícias, penso que é inútil confiar nas estatísticas macroeconômicas.
Attachment 5946
1 Attachment(s)
EUR/USD- perspectiva para o par
Bom dia a todos!
O dólar não fez nenhum movimento significativo antes do fechamento, embora tenha tentado testar os top loss. Agora verifiquei o gráfico e os níveis e posso dizer que não devemos esperar pelos novos mínimos e aqui está a razão.
Na quarta-feira, é importante controlar o saldo diário. Quanto à libra esterlina, já podemos ver aqui algumas mudanças. Em primeiro lugar, o saldo diário subiu para 2436 e o preço deverá atingir esse valor. No entanto, agora o saldo serve como um nível de resistência e pode facilmente tornar-se um máximo semanal. Portanto, é pouco provável que o preço suba e provavelmente não cairá também abaixo desse nível.
Em segundo lugar, não existe uma zona obrigatória, o que significa que o ritmo de crescimento pode acelerar.
Há alguns dias, o par abriu no limite superior do saldo diário e subiu. Hoje, o par abriu no limite inferior e podemos esperar novamente a tendência para cima. O movimento descendente é menos provável.
Attachment 5950
3 Attachment(s)
EUR/USD - análise de mercado
Olá, traders,
Quanto à negociação intradiaria, espero que o par euro/dólar apresente uma tendência ascendente. Os detalhes são indicados no gráfico.
Attachment 5951
Níveis intradiarios para hoje:
O nível superior é de 1,0887.
O nível inferior é de 1,0809.
De acordo com os níveis, o par está subindo.
Attachment 5952
Análise com base no indicador do canal de regressão.
Ontem, eu esperava que o par avançasse e estava certo. Recomendei que se trabalhasse ao longo do movimento ascendente do par de forma a atingir o alvo de 1.0890. No entanto, a situação mudou. O calendário macroeconômico de hoje inclui as notícias do Fed. Não sei como é que o sentimento do mercado irá mudar após a divulgação destes dados. A única coisa de que tenho a certeza é que, de um ponto de vista técnico, a tendência da dupla é ascendente.
Attachment 5953
3 Attachment(s)
EUR/USD - análise do mercado para 04.05.2020
No comércio intradiário, o preço iniciou o movimento descendente. É provável que volte para o lado positivo e depois volte a inverter novamente.
Attachment 5976
O nível intradiário para hoje e a análise dos níveis.
Elevado -1,1016.
Baixo -1.0948.
De acordo com os níveis, o preço tem todas as hipóteses de subir, uma vez que todos os níveis que confirmam a tendência de alta foram testados. O primeiro nível está em 1,0890, onde se formou um flat. O segundo nível está a 1.0993, onde o preço renovou a sua alta. A análise técnica mostra que o preço está efectivamente a seguir a tendência de subida, mas ainda se mantém no intervalo de 1,1495 e 1,0630.
Para compreender o que é o flat, é necessário observar o gráfico. E mesmo que verifiquemos o horário semanal, podemos ver um flat lá também, e os pips não desempenham qualquer papel neste momento. Este padrão nos grandes períodos de tempo é de facto um flat, é bom saber isso para os traders iniciantes.
Attachment 5977
Análise do canal de regressão
Concluímos o flat , por isso vamos agora analisar o indicador do canal de regressão. De acordo com ele, podemos observar uma tendência de subida no horizonte temporal H1. Para parar a tendência de subida, o preço precisa de recuar do nível de 1.0920 e este será o primeiro sinal de aviso. Depois podemos esperar um movimento em zigue-zague para o lado positivo e a partir daí a tendência para a baixa pode continuar. Portanto, este será um recuo em relação à tendência de alta. Hoje, temos dois níveis chave a 1.0940 e a 1.0920.
Attachment 5978