Olá pessoal,
Negociação intradiária
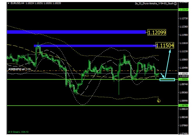
Não há muito para falar. Espero que o preço caia e depois recupere para 1,1150.
O par EUR / USD não tem uma direção clara antes da reunião do Fed.
D1 mostra uma tendência de baixa.
H4 mostra uma tendência de alta.
H1 mostra movimento plano.
Então, a imagem é mista. Quero descobrir o que o par realmente fará antes da reunião do Fed, para que eu possa lucrar depois disso.
Deixe-me compartilhar com você o que meu sistema mostra.
O nível 1.1080 confirmará uma tendência de alta. Assim, teremos dois prazos mostrando uma tendência de alta, considerando H4. No H1, o par deve recuar após atingir 1.1080. No lado negativo, o par pode tocar em 1.0970 e depois se recuperar para 1.1150 e 1.1160. Há uma forte resistência em 1.1160, então o par pode recuar bastante fundo para o lado negativo depois de atingi-lo. No entanto, se esse nível for quebrado, o par poderá desenvolver um grande rally.
Assim, se H1 também mostrar uma tendência de alta, os touros terão mais chances.
Espero que o par recue para 1,0970 após a reunião do Fed, não necessária, mas provável, e depois suba para 1,1150.
Hoje níveis intradiários
1.1057 para baixo.
1.0995 para baixo
Ontem, o par quebrou qualquer um desses níveis e a faixa de negociação ficou mais estreita. Não é tão bom antes da reunião do Fed, porque o par pode quebrar os dois níveis depois dela. Nesse caso, o intervalo aumentará e, quando isso acontecer, o par geralmente retornará ao início do dia.
![]()





Thread: 

